Abstract
This statement summarizes the information available on specific exercise test protocols and outcome parameters used in patients with cystic fibrosis (CF) and provides expert consensus recommendations for protocol and performance of exercise tests and basic interpretation of results for clinicians. The conclusions were reached employing consensus meetings and a wide-band Delphi process. Although data on utility are currently limited, standardized exercise testing provides detailed information on physiological health, allows screening for exercise-related adverse reactions and enables exercise counselling. The Godfrey Cycle Ergometer Protocol with monitoring of oxygen saturation and ventilatory gas exchange is recommended for exercise testing in people 10 years and older. Cycle ergometry only with pulse oximetry using the Godfrey protocol or treadmill exercise with pulse oximetry - preferably with measurement of gas exchange - are second best options. Peak oxygen uptake, if assessed, and maximal work rate should be reported as the primary measure of exercise capacity. The final statement was reviewed by the European Cystic Fibrosis society and revised based on the comments received. The document was endorsed by the European Respiratory Society.
Introduction
Standardized exercise testing should be part of the regular assessment of patients with cystic fibrosis (CF) for multiple reasons. It is used for evaluation of physical limitations and documentation of reported exercise-associated symptoms [1] or to screen for possible adverse effects of exercise [2]. Often, a patient's aerobic exercise capacity is also determined to make training recommendations or to determine the effects of a conditioning program [3,4,5,6]. Furthermore, exercise capacity provides prognostic information for clinical outcome and with respect to mortality [7,8,9,10,11,12,13] and may be useful for the assessment of lung transplant candidates [14,15], even though the evidence for an additional value in this respect is currently limited. Finally, exercise capacity is related to quality of life [16]. Standardized exercise testing is recommended in several countries [17,18], but there is no current agreement on a single best exercise test to answer all possible questions in individuals with CF who differ widely in age and disease severity.
The goal of this document is to describe the current best practice recommendations for conducting exercise tests in patients with CF. This statement summarizes the information available on specific test protocols and outcome parameters often used in patients with CF and provides consensus recommendations as to which exercise protocol to use, how to perform a full cardiopulmonary exercise test and aerobic field tests, and how to interpret results. Other forms of exercise testing, such as those to assess short-term muscle performance like the Wingate Test and isokinetic testing, have been used for scientific purposes [19,20,21,22,23] but rarely in a clinical setting. Since the statement addresses aerobic exercise testing from the perspective of a clinician, these tests are not discussed in the paper.
In the preparation of this document, great effort was taken to involve experts with differing backgrounds (exercise scientists, physicians, physiotherapists, clinical exercise physiologists) from different organizations (Exercise Working Group of the European Cystic Fibrosis Society, Exercise Research Workgroup of the North American Cystic Fibrosis Conference, European Respiratory Society, American Thoracic Society, American College of Sports Medicine) and from different geographical regions (Australasia, Europe, North America). In addition to a literature review, a wide-band Delphi process was used (see online suppl. document for details on the process) and five consensus meetings were held in 2011-2013. Further discussions and revisions of the document took place via e-mail. While the sample of responders to the Delphi process and the consensus meetings is somewhat limited, it represented the international expertise in CF exercise testing. The recommendations presented in this statement are primarily based on expert consensus summarizing published data and not on randomized controlled trials since no publications were identified addressing the value of specific recommendations. However, similar approaches have been taken by other groups [e.g., [24]]. It is our vision that exercise testing becomes a standard part of routine assessment, and that data be collected in a consistent manner between centers, so that meaningful comparisons can be made over time and across centers.
Exercise Test Options
The protocol selected for exercise testing will depend on the purpose of the test and the characteristics of the patient. In general, the gold standard exercise test for assessing aerobic exercise capacity is an incremental exercise test to measure peak oxygen uptake (V∙O2 peak) on either the treadmill or cycle ergometer [24,25,26]. Progressive incremental protocols, continuously incremental (ramp) protocols and protocols in which each stage lasts 1 min are very efficient in providing exercise responses in a short amount of time (within 8-12 min) [24,27].
Ventilatory gas analysis allows the accurate measurement of V∙O2 peak and assessment of exercise ventilation and circulation characteristics. This information is important to identify the cause(s) for a low exercise capacity (i.e. deconditioning, respiratory limitation, cardiovascular limitation, peripheral limitation). However, equipment for gas exchange measurements is somewhat expensive and requires expert supervision and interpretation, and access to this equipment varies between countries. Less than 10% of UK CF centers have access to facilities for full cardiopulmonary exercise testing (CPET) [28], while equipment for full CPET is available in more than 50% of German CF centers [1]. In the US, more than 60% of pediatric cardiology and pulmonary programs include gas exchange measures in exercise tests [29].
In addition to laboratory exercise testing, field tests - especially the 6-min walk test (6MWT), shuttle walk/run tests and step tests - are used for exercise assessment in CF. There are considerable differences in the use of these tests between countries [1,28]. These field tests are portable and do not require expensive equipment but typically do require more space and give only limited information about exercise capacity, reasons for exercise limitations and potential exercise-associated adverse reactions in patients with CF. Furthermore, the 6MWT and the 3-min step test are not maximal in patients with mild disease, while the shuttle tests do not allow close monitoring (e.g. continuous ECG). For this reason, standardized assessments using a cycle ergometer or treadmill are strongly preferred to field tests for routine monitoring, particularly in subjects with mild-to-moderate lung disease. Table 1 summarizes the advantages and limitations of the different tests.
Characteristics of full CPET compared to laboratory measurements of peak performance and field tests

This document is organized to provide recommendations for exercise testing for people with CF depending upon the indications for the assessment (table 2).
Routine Monitoring and Evaluation of Exercise-Related Symptoms
Who Should Be Tested?
Unequivocal evidence for the benefit of routine exercise testing is not yet available, and for this reason we cannot make a formal recommendation for this practice. However, the consensus of the writing committee is that exercise testing can provide guidance on prognosis and individual patient counselling in patients 10 years and older, and can be performed even with limited resources. Younger children should be considered for testing to familiarize the patients with the procedures, motivate the children and their families towards regular exercise and guide exercise participation. In the case of newly reported exercise-related symptoms, an exercise test should be performed regardless of age unless there are obvious explanations for the symptoms or contraindications (see also table 6).
Rationale
CF is a complex disease affecting not only the pulmonary and digestive systems but also metabolic relationships and muscle function. Focusing on pulmonary function tests as the main marker of disease progression is unfortunate because these tests alone may fail to identify other factors that affect morbidity and mortality which are reflected in an exercise test. Exercise tests, because they stress the major body systems, provide insights into multiple factors that affect disease progression and the effects of treatment on these systems [30,31]. That lung function and exercise tests monitor different aspects of the disease is reflected in the poor relationship between these two tests, especially in individuals with a relatively preserved lung function [10,32]. Comparisons between CF genotypes found no differences in pulmonary function, but marked differences in the exercise response [33], emphasizing the power of exercise tests to monitor the complex factors affecting outcome. A joint American Thoracic Society and American College of Chest Physicians statement [25] on the use of exercise testing in clinical practice concludes: ‘The use of CPET in patient management is increasing with the understanding that resting pulmonary and cardiac function testing cannot reliably predict exercise performance and functional capacity and that, overall, health status correlates better with exercise tolerance rather than resting measurements'. Several expert groups have recommended standardized exercise testing in people with CF [17,18,34]. Likewise, regular exercise testing is recommended as part of the standard of care in diseases other than CF, with some authors suggesting that exercise testing be considered a ‘vital sign' [35]. The task force on the management of adult congenital heart disease of the European Society of Cardiology [36] recommends regular exercise testing as part of the long-term follow-up treatment because it plays an important role in the timing of interventions. The Bethesda heart conference recommended ‘routine' exercise testing about every 2 years for children and adults with significant congenital heart disease, whether or not they have symptoms [37].
The capacity of the body to perform aerobic exercise and utilize oxygen may be limited in CF for different reasons including impaired lung function [21,38], a poor nutritional status [39]/low muscle power [21], a cardiac dysfunction [40], a high level of inflammation [13] and a low habitual physical activity (= deconditioning [21]). Standardized exercise testing allows discriminating between these causes and may guide targeted interventions. The availability of measures of gas exchange is critical in the ability to use the test for detection of pulmonary, cardiac and muscle/metabolic dysfunction or deconditioning.
Exercise may be associated with adverse events which may be detected during an exercise test, such as hypoxemia [2,41,42], hypercapnia [43] and cardiac dysrhythmias [2]. These cannot be predicted from measurements at rest [2] and thus require exercise testing. Although exercise-induced hypoxemia is usually limited to patients with an FEV1 below 70% of predicted [2,42], dysrhythmias triggered by exercise may also occur in people with preserved pulmonary function. It would thus be imprudent to prescribe exercise in these patients without first performing a test.
Multiple studies have established the link between aerobic exercise capacity and survival in CF [7,8,9,10,11,12,13]. Some evidence suggests that peak oxygen uptake determined during an incremental exercise test may better predict structural lung changes visible on thin-section CT imaging [44] and mortality [7] than FEV1 or BMI, and that data from exercise testing may even provide information in addition to FEV1 with respect to future decline in FEV1 and hospitalizations [42].
A high level of physical activity and regular exercise are recommended by most centers caring for people with CF [1,28]. Likewise, patient organizations like the Cystic Fibrosis Foundation and the Cystic Fibrosis Trust advocate exercise for persons with CF [45,46]. Regular exercise tests allow early detection of physical deconditioning and provide the basis for exercise prescription and encouraging fitness in patients, laying a foundation for improved outcomes.
People with CF younger than 10 years of age rarely experience exercise-associated adverse events which might be predicted from exercise testing. Most young children are physically active and do not need additional motivation from formal exercise testing. However, some children who are under 10 years of age may require facilitation to increase exercise levels.
Centers that perform routine exercise tests, including gas exchange measures, have not found that these tests add a burden to patients and care centers [1]. Start-up costs for a minimalist system are less than EUR 15,000, and the per test cost, including technician time, supplies is estimated to be around EUR 80 or less [47].
What Should Be Monitored during the Test?
Pulse oximetry for estimation of arterial oxygen saturation (SpO2) should be monitored before, during and after an exercise test. Heart rate (HR), either through the pulse oximeter, a pulse monitor or standard 3-lead ECG, should be measured throughout the test. Ventilatory gas analysis for the measurement of V∙O2 and other ventilatory/gas exchange variables during exercise testing is preferred.
Rationale
Pulse oximetry identifies exercise-induced hypoxemia [2], while monitoring of ventilation and pulmonary gas exchange allows the best evaluation of aerobic capacity as well as factors limiting exercise tolerance [25,26]. HR measurements allow the determination of maximal effort during the test and enable recommendations on exercise intensities - both for everyday activities as well as for sports. Electrocardiography can additionally assess for exercise-associated dysrhythmias [2].
What Test Protocol Should Be Used?
The cycle ergometer using the Godfrey protocol with pulse oximetry and - if available - ventilatory gas analysis should be used for aerobic exercise testing in CF.
Rationale
The exercise testing protocol should be as universally applicable as possible to allow follow-up of patients over time, facilitate comparisons between centers and enable analyses of large databases in the future, e.g. patient registries. Thus, the protocol should be valid for testing young and older as well as severely impaired and very fit patients, and suitable to address the clinical indications for an exercise test in CF. Submaximal tests such as walk tests are easy to perform but do not provide much information in relatively healthy patients with CF. Incremental shuttle or step tests are suitable also for testing fit individuals, but it is sometimes difficult to determine whether a maximal effort was made, difficult to detect adverse reactions to exercise and usually impossible to identify the reason for a limitation in exercise capacity. Treadmill tests require some familiarization with the equipment, more space and more staff than cycle ergometry tests.
The Godfrey cycle protocol with ventilatory gas exchange measurements has been well evaluated in CF; it provides valid information for all CF-relevant indications for an exercise test in patients with disease severity varying from severely impaired to ‘healthy', and is easy to implement relative to treadmill exercise (see below). The Godfrey cycle protocol without ventilatory gas exchange measurements is recommended as the second best option since it provides measurable information on work output, while the modified Bruce treadmill protocol with or without gas exchange measurements is another alternative when the Godfrey cycle protocol with ventilation measurements is not possible.
Godfrey Cycle Ergometer Protocol
The Godfrey Protocol in CF
The Godfrey cycling protocol has been used in patients with CF 6 years and older with various degrees of pulmonary, cardiac or overall impairment ranging from extremely limited to well conditioned. The test can also be performed with supplemental oxygen [48].
The Godfrey protocol has been used for the clinical assessment of adverse reactions to exercise in CF [2], in various studies on exercise in CF [48,49], in projects assessing associations between exercise capacity and other variables such as lung function, physical activity, quality of life or survival [7,21,22,50], and in controlled trials assessing the effects of an exercise intervention [4,5,51,52,53]. While some of these studies strictly adhered to the original protocol published by Godfrey et al. [54], others employed modified protocols (see below). The original protocol has been recommended by the Working Group on Sports of the German CF foundation Mukoviszidose e.V. [17].
Test Description
The Godfrey protocol [54] is a continuous incremental cycle protocol to volitional fatigue. Depending on the height of the individual performing the exercise test, work rate starts with 10 (<120 cm), 15 (120-150 cm) or 20 W (>150 cm). Work rate is then increased by 10, 15 or 20 W/min, respectively. In some centers evaluating patients with CF, modifications have been introduced. For example, Orenstein [55] suggested a baseline of zero resistance and 10-watt increments every minute for all patients shorter than 125 cm and all patients with an FEV1 equal or below 30% predicted. Patients with a height of 125-150 cm would exercise initially at zero resistance with 15 W/min increments, while increments of 20 W/min would be employed in patients taller than 150 cm. Modified Godfrey protocols with fixed 5, 10, 15, 20 or 25 W/min work rate increments have also been used [10,12,39,56,57,58]. An equation to calculate individualized increments in work rate based on gender, age, height and FEV1 has recently been published for children and adolescents [59].
Practical Recommendations for Testing People with CF (Equipment and Godfrey Cycle Protocol)
The Godfrey cycle test is best performed using an electronically braked cycle ergometer which holds the power output constant independently of variations in cadence. The seat needs to be adjusted to the patient's height so that the knees are never fully extended nor flexed more than 90° during a revolution. For testing smaller children up to the age of 8-10 years, a pediatric-sized ergometer with special seats, seat bars and adjustable crank arms is recommended. For practical purposes, a standing height of 130 cm is needed to utilize standard commercially available adult cycle ergometers.
After all monitoring equipment (i.e. pulse oximeter, HR monitor or ECG, mask or mouthpiece for ventilatory gas exchange measurements) is in place, resting measurements are made for 3 min. After another 3 min of unloaded pedaling, the actual exercise test starts. In patients with normal lung function or with mild-to-moderate lung dysfunction, the original Godfrey protocol with power output increments of 10 W in individuals with a height <120 cm, 15 W for those 120-150 cm tall and 20 W for those >150 cm can be used and should keep the exercise time within the recommended 8-12 min. In patients with severe lung disease, smaller increments will be necessary, i.e. 10-watt increments in patients with an FEV1 below 30% predicted. The load is increased every minute with measurements of V∙O2, SpO2 and HR recorded during the last 15 s of each stage.
Patients known to require additional oxygen with exercise can be tested while breathing supplemental oxygen. However, in these cases, measurements of ventilatory gas exchange require a large reserve of oxygen-enriched gas to breathe from and oxygen analyzers valid at high oxygen concentrations. Therefore, most tests with supplemental oxygen are performed without ventilatory gas exchange measurements. Peak work rate can still be measured and V∙O2 peak estimated.
Reference Data
Godfrey and his group tested 117 healthy children and adolescents aged 6-16 years, and developed prediction equations for peak work rate (Wpeak; table 3) [54]. Orenstein [55] published gender-specific prediction equations for V∙O2 peak in healthy children (table 3). These latter equations were used for the study on the prognostic relevance of exercise testing in CF [7] and the factors limiting V∙O2 peak[21], and have thus been validated for use in CF. A modified Godfrey protocol employing 15-watt increments per minute, as used by Klijn et al. [39] for patients with CF, has been validated in healthy Dutch children by Binkhorst et al. [60] and Ten Harkel et al. [61]. If gas analysis equipment is not available, this test may be performed as described and V∙O2 peak reliably estimated using the formulas summarized in table 3.
Equations and norms relevant for exercise testing in CF using the Godfrey cycle ergometry protocol

Reliability and Validity
The reproducibility of performance data or measures of ventilation have not been assessed in CF using the original Godfrey protocol. However, in a group of 9 adult patients tested three times within 28 days using a ramp protocol with increments of 15 W/min, the coefficients of variation for Wpeak and V∙O2 peak were 6.0 and 6.9%, respectively [64], indicating very reliable test-retest performance.
V∙O2 peak determined using the Godfrey protocol is significantly related to pulmonary function, muscle mass and muscle power, and physical activity [21,22,50] and is sensitive to exercise interventions of different duration [5,65]. Furthermore, exercise testing employing the Godfrey protocol has prognostic value in CF equal to FEV1[7]. Recently, it has also been shown that inflammation and (chronic) Pseudomonas aeruginosa infection are related to aerobic exercise capacity [13].
Bruce Treadmill Protocol
The Bruce Protocol in CF
Of the many protocols available for treadmill exercise testing, the Bruce protocol [66] is the most widely used in North America [29,67] and Europe [68,69]. Although originally used to assess functional aerobic impairment in cardiovascular disease [66], the Bruce treadmill protocol has also been used in patients with CF and a variety of other pulmonary diseases such as COPD [70,71], pulmonary artery hypertension [72] and lung transplantation [73,74].
The Bruce (or modified Bruce) protocol has been used in patients with CF primarily as a means of measuring aerobic exercise capacity compared to other clinical measures of disease severity, e.g. (1) FEV1 [39,75], (2) fat-free mass [39], (3) Schwachman score [75], (4) Cystic Fibrosis Clinical Score [76] and (5) quality of life [77]. It has also been used to compare exercise capacity to CF genotype [33] and to validate exercise field tests in CF [78]. Aerobic exercise capacity, assessed by the Bruce protocol, has also been used as an outcome measure in 2 randomized controlled trials of exercise training interventions [77,79] where the participants' age ranged from 5 to 61 years, and the FEV1 ranged from 23 to 128% predicted.
Test Description
The Bruce protocol is a symptom-limited, continuous, incremental treadmill protocol. Each stage (increment) of the original Bruce protocol is 3 min at a specific percent grade and speed. For patients that are expected to have a lower exercise capacity, the modified Bruce protocol has 2 additional stages at the same speed as the original stage 1, but a lower percent grade: stage 0 (0% grade) and stage ½ (5% grade; ½ of stage 1 grade; table 4).
Typical outcomes from the Bruce protocol in CF are (1) V∙O2 peak [33,39,75,78] and (2) exercise time (time on treadmill before stopping) [75,79]. If gas analysis is not available, V∙O2 peak can be estimated from exercise time [80,81] or from the estimated metabolic cost (table 5). As with cycle ergometer testing, the severity of desaturation is another common outcome of treadmill tests [77,82].
Equations and norms relevant for exercise testing in CF using the Bruce or modified Bruce protocol

Although less precise than cycle ergometry, peak work rate (power; in J/s or W) can be calculated from a treadmill ergometer using final percent grade and speed of the treadmill, time on the final stage, patient's body mass and standard gravity (g; 9.81 m/s2; equations 1 and 2).


Since work rate on a treadmill is dependent on body mass, handrail use should be discouraged as holding onto the handrail reduces the workload [24,83].
Reference Data
Reference values and percentiles for test duration on the Bruce treadmill protocol from healthy children 4-18 years old [68,69,84,85] and adults up to age 65 years [66] are available.
Reliability and Validity
Test-retest reliability is 0.94 in healthy children [84] and 0.84-0.88 in healthy adults [87]. The test is also sensitive to changes in inspiratory muscle function in children with CF, showing a 10% increase in test duration with a 13% increase in maximal inspiratory pressure following a 10-week period of inspiratory muscle training [79]. V∙O2 peak assessed by the Bruce protocol has also been demonstrated to be sensitive to changes in clinical status following treatment for acute CF pulmonary exacerbations in children and adolescents [76].
V∙O2 peak from the Bruce protocol is correlated with FEV1 (r = 0.59, p < 0.009) and Schwachman score (r = 0.60, p < 0.009) in patients with CF [75]. Significant correlations between change in V∙O2 peak and change in FEV1 and change in fat-free mass in children with CF (r = 0.62, p < 0.001, and r = 0.56, p < 0.001, respectively) have also been reported [39]. Following an acute pulmonary exacerbation, changes in V∙O2 peak were associated with improvements in lung clearance index and the Cystic Fibrosis Clinical Score [76].
How Should an Exercise Test Be Conducted and Interpreted?
Staff Requirements and Safety Issues
Staff should be trained appropriately to recognize adverse events during exercise testing [24,25,26], to respond adequately to emergencies [24,25,26] and to be aware of CF-specific infection control guidelines [88]. If not defined differently by national law or local regulations, 2 staff members, at least 1 properly trained and experienced, are required to be present in the room during an exercise test. A physician needs to be immediately available during the test. For testing patients with a perceived high risk during exercise as identified by the physician responsible for the test (such as FEV1 <40% predicted, known exercise-associated arrhythmias), a physician should be present [25].
Patient Preparation prior to Testing
• A light meal no more than 2 h prior to the test is recommended
• No caffeine should be consumed on the day of the test
• No strenuous exercise should be performed on the day of the test
• Appropriate dress and shoes should be worn
• Physician-recommended routine medication including bronchodilators should be used as prescribed
• Thorough airway clearance should be performed prior to testing
• Information about the test and the measurements should be given to the patient
• Obtain written informed consent based on legal premises and local practice
Pretest Information Needed
• Current medical history
• Physical examination (particularly looking for signs of acute pulmonary exacerbation, cardiac or musculoskeletal issues that would impair exercise)
• Vital signs (pulse oximetry, HR, blood pressure, body temperature)
• Pulmonary function testing
• Blood glucose measurement in patients who are known to be diabetic or have a history of hypoglycemia
Based on the results of this information, the clinician can decide if testing is appropriate at the current time.
Contraindications to exercise testing are rather similar in different consensus and protocol papers. In table 6, we present a summary of the most important contraindications. For details, we refer to the publications from an ERS Task Force [26], the ATS/ACCP [25] and Flume et al. [89].
Recommended Measurements and Period of Monitoring
The following measures should be monitored for 3 min prior to exercise, during the incremental test and for at least 2 min of recovery in all people with CF:
• Oxygen saturation (always, pulse oximetry)
• Ventilation and pulmonary gas exchange (strongly preferred)
• HR (always; ECG preferred, HR monitor acceptable)
• Perceived exertion ratings, perceived dyspnea ratings (always)
• Blood pressure should be measured at the end of each stage (preferred)
Rationale. The recommended measurements and the period of monitoring are consistent with current guidelines [25,26,90]. In some patients with CF, additional measurements such as arterial blood gases, blood lactate levels, or measurement of cardiac output may be indicated. The level of recommendation was based on consensus.
Indications to Stop the Test (see also [25])
• Severe desaturation with an SpO2 ≤80% when accompanied by symptoms and signs of severe hypoxemia
• Other signs of respiratory failure
• Chest pain suggestive of pneumothorax or cardiac ischemia
• Hemoptysis
• Sudden pallor
• Systolic blood pressure exceeding 250 mm Hg
• Decrease in systolic blood pressure by more than 20 mm Hg or increase in diastolic pressure above 120 mm Hg
• Loss of coordination
• Mental confusion
• Dizziness or faintness
• Complex cardiac ectopy
• Second- or third-degree heart block
• Volitional fatigue/patient's decision
Information from Testing to Be Reported
• V∙O2 peak in ml/min, ml/kg/min and percent predicted (preferred)
• Wpeak in W, W/kg and percent predicted (Godfrey protocol) or highest grade and speed to treadmill (Bruce protocol)
• Peak HR in beats per minute and percent predicted maximum
• Respiratory exchange ratio (from ventilatory gas analysis)
• Perceived exertion and dyspnea ratings (e.g. Borg CR10 scale) [91,92]
• Any signs or symptoms of exercise intolerance observed
• Minimum SpO2 value
• HR at which SpO2 drops below 90%
• V∙E peak [in l/min and in percent (predicted) maximal voluntary ventilation (MMV)]
• ECG changes if seen
Additional Information from Testing Which Provides Further Insight into Exercise Limitations or Might Be Helpful for Exercise Prescriptions
• V∙E/V∙CO2 slope
• V∙E/V∙O2 and V∙E/V∙CO2 at peak exercise
• Dead space/tidal volume (VD/VT) at peak exercise (most reliable if blood gases were measured)
• PetCO2
• Anaerobic lactate or gas exchange (ventilatory) threshold
• HR, V∙O2 and SpO2 at gas exchange threshold
In addition, descriptive data such as gender, height, weight, age, pulmonary function test results and (estimated) MVV should be reported and the results should be related to reference data. The reference equations for V∙O2 peak and Wpeak have been summarized in tables 3 and 5 for the Godfrey cycle protocol and the modified Bruce treadmill protocol, respectively. Reference equations for other relevant outcomes are compiled in table 7.
There is a considerable amount of further data that can be gathered from a maximal aerobic exercise test which may be helpful for interpretation and/or clinical management of a patient; however, it is likely that these data may require more advanced training to interpret. Their detailed description and interpretation are beyond the purpose and scope of this document. For further information, please refer to some recent guidelines and publications [24,25,26,27,102,103].
Interpreting an Exercise Test
Interpretation of exercise data should allow the clinician to determine if a test was of maximal effort, and if the response to the exercise stress was normal or abnormal. If an abnormal test was interpreted, the clinician should be able to determine the best course of action. Below, a relatively simple approach to data interpretation is summarized which focuses on the typical situations when testing people with CF (see also fig. 1).
A rational approach for the interpretation of a cardiopulmonary exercise test.
Was the Test Maximal? There are several indicators of a maximal incremental test. Traditionally, the main criterion for the achievement of an individual's maximal V∙O2 has been a plateau of V∙O2 despite an increase in work rate. The plateau is usually defined as an increase in V∙O2 during the final completed stage of an incremental exercise test of <2 ml × kg-1 × min-1 for a 5-10% increase in exercise intensity or of <2 standard deviations of the average increase in V∙O2 during the preceding stages [104].
Not all individuals tested will show a leveling-off of V∙O2 during the test. Therefore, it has been suggested to assume a maximal effort if at least one of the following criteria is met during an exercise test:
• The patient achieves predicted V∙O2 peak and/or predicted maximal work rate [25]; the equations to predict V∙O2 peak and maximal work rate are test, gender and age specific
• The patient reaches a maximal HR at or above predicted peak HR [25]
• Peak ventilation approaches or exceeds (estimated) MVV [25]
• Maximal respiratory exchange ratio during exercise exceeds 1.03 (cycle ergometry) or 1.0 (treadmill) in children and adolescents [93]; in adults, a respiratory exchange ratioabove 1.05 is usually considered an indicator of a maximal effort [95]
• A rating of 9-10 on a 0-10 Borg scale for perceived exertion or ≥17 on a 6-20 scale [25,95]
Is the Exercise Response Normal or Abnormal? Only maximal tests are interpretable with respect to peak exercise capacity. Ascertaining a normal exercise response also requires a maximal test, while abnormal responses may be detectable already during submaximal exercise, especially if the test had to be terminated due to adverse reaction. The following criteria may be used to identify an abnormal exercise capacity and/or abnormal response to peak exercise in CF:
• V∙O2 peak is below 82% predicted and/or peak work rate is below 93% predicted, respectively [7]
• HR at peak exercise is ≥15 beats/min below estimated peak HR [25]
• V∙E at peak exercise is ≥85% of (estimated) MVV [25]
• VD/VT is ≥0.28 up to age 40 years and ≥0.30 in older people [25]
• V∙E/V∙CO2 slope above upper limit of normal
• Exercise-induced arrhythmia [2]
• Any sign or symptom of exercise intolerance observed during exercise
Reasons for impaired exercise capacity include deconditioning, respiratory limitation, cardiovascular limitation and peripheral (e.g. muscular) limitation. Figures 2 and 3 provide examples of a patient with respiratory limitations and a patient with deconditioning who was tested before and after an exercise intervention.
Results of an exercise test in a 22-year-old patient with CF and an FEV1 of 42% predicted. The test was maximal since respiratory exchange ratio at peak exercise was 1.06, and rating of perceived exertion was 10 on a 0-10 Borg CR10 scale. The data clearly indicate a ventilatory limitation. a V∙O2 peak (66% predicted) and Wpeak (64% predicted) were reduced and the ΔV∙O2/ΔWR slope was normal (>9.8 ml/min/W). b Peak HR (⚫; 166 beats/min) was lower than expected (175 beats/min). The ΔHR/ΔV∙O2 slope was within the normal range of slopes (<51.5 beats/liter O2), indicating a normal cardiac function. SpO2 (▽) decreased from 96% at rest to 92% at peak exercise, which reflects a just normal response. c There was only a very minor increase in VT (⚫) with exercise, while frequency of breathing (▽; F) nearly passed the upper limit of normal (60 breaths/min). d The slope of ΔV∙E/ΔV∙CO2 was above the upper limit of normal (28.6).
Results of an exercise test in a 22-year-old patient with CF and an FEV1 of 42% predicted. The test was maximal since respiratory exchange ratio at peak exercise was 1.06, and rating of perceived exertion was 10 on a 0-10 Borg CR10 scale. The data clearly indicate a ventilatory limitation. a V∙O2 peak (66% predicted) and Wpeak (64% predicted) were reduced and the ΔV∙O2/ΔWR slope was normal (>9.8 ml/min/W). b Peak HR (⚫; 166 beats/min) was lower than expected (175 beats/min). The ΔHR/ΔV∙O2 slope was within the normal range of slopes (<51.5 beats/liter O2), indicating a normal cardiac function. SpO2 (▽) decreased from 96% at rest to 92% at peak exercise, which reflects a just normal response. c There was only a very minor increase in VT (⚫) with exercise, while frequency of breathing (▽; F) nearly passed the upper limit of normal (60 breaths/min). d The slope of ΔV∙E/ΔV∙CO2 was above the upper limit of normal (28.6).
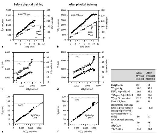
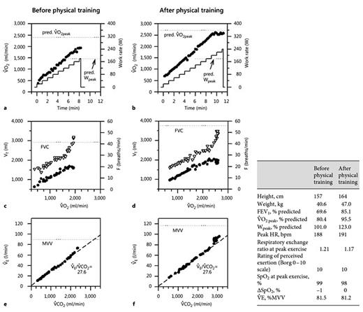
Results of CPET in a 15-year-old adolescent with CF before and after an individualized 9-month home-based exercise intervention. The data collected are shown in the table. Both tests were maximal. The exercise response prior to the intervention was abnormal in that V∙O2 peak was <82% predicted with no other indicators for an abnormal exercise response. Thus, the patient was deconditioned. Nine months later, after an exercise intervention, the patient had grown and gained weight. Lung function had improved considerably. The exercise response following the exercise intervention was normal, V∙O2 peak had increased considerably even when expressed in percent predicted, indicating an effect of the conditioning and not merely of growth and maturation. a, b ⚫ = V∙O2 peak; - = work rate. c, d ⚫ = VT; ▽ = frequency of breathing (F).
Results of CPET in a 15-year-old adolescent with CF before and after an individualized 9-month home-based exercise intervention. The data collected are shown in the table. Both tests were maximal. The exercise response prior to the intervention was abnormal in that V∙O2 peak was <82% predicted with no other indicators for an abnormal exercise response. Thus, the patient was deconditioned. Nine months later, after an exercise intervention, the patient had grown and gained weight. Lung function had improved considerably. The exercise response following the exercise intervention was normal, V∙O2 peak had increased considerably even when expressed in percent predicted, indicating an effect of the conditioning and not merely of growth and maturation. a, b ⚫ = V∙O2 peak; - = work rate. c, d ⚫ = VT; ▽ = frequency of breathing (F).
Exercise recommendations must be matched to the result of the test. For patients with a normal test, full exercise participation is recommended unless there are other reasons to restrict certain activities. For abnormal results, if possible, the cause should be corrected (e.g. supplemental oxygen, cardiology consult and specific therapeutic exercise prescription by a physiotherapist or exercise physiologist). The exercise recommendation for the level of exercise intensity should take into account the HR, workload or reported effort on the Borg scale at which desaturation, CO2 retention and/or cardiac dysrhythmia occurred. The goal of the recommendation is always to help patients achieve the highest level of aerobic capacity that their disease status allows to maximize lung function and quality of life and decrease the risk of mortality.
Exercise Tests for Indications Other than Routine Monitoring and Evaluation of Exercise-Related Symptoms
Six-Minute Walk Test
The 6MWT is used to measure exercise capacity in those with chronic cardiac and/or respiratory disease [105]. However, the 6MWT is submaximal for all but those with severe CF lung disease, and its usefulness is limited accordingly. For the assessment and follow-up of lung transplant candidates, this test is currently used by many centers [9,14].
Test Description
The 6MWT is a self-paced exercise test which is performed over a 30- to 50-meter course. The participant walks up and down to complete laps at the best pace possible, and the distance covered in 6 min is used as the measure of performance. Running is not allowed, and standardized vocal encouragement is given throughout. Equipment required is a measuring tape, some cones to mark out the walking course and a pulse oximeter to measure HR and SpO2.
Reference Data
Reference values exist for adults and children [106,107,108], and reference ranges in children illustrate that a subject's height, as well as age, will influence the 6-min walking distance (6MWD) [107,108].
Reliability and Validity
Test-retest validity and repeatability are reported to be good in both children and adults in health and across a variety of diseases [109,110]. Although a correlation with V∙O2 peak exists in children with severe cardiorespiratory disease [111] and in those with moderate CF lung disease [105,112], the correlation between V∙O2 peak and 6MWD was lost when V∙O2 was corrected for body weight, and the standard error of estimate can be high. It is reported that estimating work of walking correlates better with V∙O2 peak in children with CF than does 6MWD alone [113].
Incremental Shuttle Tests
There are a number of externally paced, multilevel shuttle tests for assessment of exercise capacity, each requiring some space but minimal equipment (cones, measuring tape, test CD, recording sheets and pulse oximeter).
Twenty-Meter Shuttle Test
Test Description. The incremental 20-meter shuttle run test (or ‘bleep test') was developed by Leger and Lambert [114] and is a multistage maximal exercise test that is a commonly used measure of exercise capacity for groups including the police, armed forces, schoolchildren and sports teams. Two cones are placed 20 m apart, and the test is guided by a prerecorded program. This program gives initial instructions on undertaking the test, then comprises of a series of bleeps at decreasing time intervals. The subject stands at one cone. Following the first bleep, the subject should aim to be at the opposite cone by the time the second bleep sounds. After every minute, the speed of walking/running increases (indicated by a triple bleep) as the time interval between bleeps decreases. Each minute equates to a single level of achievement. The test stops when a subject fails to reach the line within 2 m for two consecutive ends. The test begins with a series of shuttle runs at a speed of 8.5 km × h-1, and the test speed increases by 0.5 km × h-1 every minute. The primary outcome reported is the distance covered or the maximum level (number of completed laps) achieved, and normative reference data exist for children with regard to the stage/level [115] or number of completed laps achieved [116]. The test is also used by some as a surrogate measure for V∙O2 peak which can be estimated from the maximum shuttle speed.
Test Use in CF. The 20-meter shuttle test was modified for use in CF, with a starting speed of 4 km × h-1 and subsequent 0.5 km × h-1 increases each minute and has been validated for use in the CF population by Selvadurai et al. [78].
Reliability and Validity
Predictive equations to estimate V∙O2 peak from the 20-meter shuttle test performance are available [117,118]. However, due to a considerable amount of random error with repeated testing, the validity of the 20-meter shuttle run test to monitor changes in V∙O2 peak has been questioned [119].
In patients with CF, performance in the modified 20-meter shuttle run test was found reproducible [78]. However, there remained a random error of up to 5 ml/kg/min when estimating V∙O2 peak from ‘weight-age' (age for weight) and peak running velocity [78].
Ten-Meter Shuttle Test
Test Description. A standardized, externally paced 10-meter shuttle walk test was developed by Singh et al. [120] in order to evaluate exercise capacity in adults with COPD. In its original form, this incremental walking test has 12 levels varying from approximately 2 km × h-1 on level 1 to 8 km × h-1 by level 12. Walking distance achieved during the test is measured, and normative data are available based on age, gender and BMI [121].
Ten-Meter Shuttle Test in CF. The test was adapted and validated for use in CF adults by allowing subjects to run and increasing the number of levels to 15 with a maximum speed of 10.2 km × h-1[122]. Similar to the 20-meter shuttle test described above, cones are placed on a 10-meter course, and the test is guided by a prerecorded program. The cones are inset by 0.5 m at either end to avoid the need for abrupt changes in direction. Following basic instructions, the prerecorded program begins with a single bleep, and the subject begins to walk to the other cone, which should be reached by the time the second bleep sounds. This continues for 1 min, at which point the time interval between bleeps decreases (indicated by a triple bleep), and this cycle continues for 15 levels, with the test speed increasing by 0.5 km × h-1 at each level (i.e. every minute). The test is terminated when the subject fails to be within 0.5 m of the cone on two consecutive shuttles, voluntary exhaustion or if level 15 is completed. In spite of these adaptations, the 15-level test remains submaximal for some CF patients as well as more than 30% of healthy adults who exceed the 15th level, which has resulted in work to extend the test to 25 levels and create a truly maximal test [123]. However, there are no data regarding the correlation between performance and V∙O2 peak for this extended protocol. Furthermore, the length of the extended 25-level test would exceed the recommendations for a maximal aerobic capacity test for those with higher aerobic capacities.
Reliability and Validity
This modified 10-meter shuttle test has been reported to have excellent test-retest repeatability for measures of distance covered, maximal HR, Borg score and SpO2[124]. Furthermore, a tight correlation was reported between distance covered on the 10-meter shuttle and V∙O2 peak measured during a treadmill test in CF adults [122].
Three-Minute Step Test
Test Description
This test is short and simple to perform, requires little space, and the only equipment needed is a commercially available aerobics exercise step, a metronome and a pulse oximeter. Described by Balfour-Lynn et al. [125], the methodology employed is to step at a metronomic rate of 30 steps/min on and off a 15-cm (6 inch)-high step. The test is performed for 3 min, and subjective patient measures of breathlessness using a modified Borg scale are made, along with recording of maximal HR during exercise and change in SpO2 to assess exercise tolerance. The test is submaximal for many with mild-to-moderate CF lung disease, and as such the utility of the test in measuring performance and changes in performance with any training intervention is limited.
Three-Minute Step Test in CF
The 3-min step test has been shown to be associated with greater falls in SpO2 and greater increases in HR than the 6MWT in those with moderate-to-severe lung disease, and is recommended as being of value in assessing the suitability of a child for lung transplantation [126].
Reliability and Validity
Limited data suggest that this test is reproducible with near-identical step numbers being taken on original and duplicate tests [125]. Exercise-induced hypoxia on the step test has been defined as a fall in SpO2 of >4% during exercise [127]. The test is influenced by patient height and leg length, and its use is limited by the fact that it is submaximal for most subjects and is nonprogressive.
Conclusion
The experts that were identified and participated in the Delphi process suggest, in the optimal case, that routine monitoring of aerobic exercise capacity should be performed using full CPET employing the Godfrey cycle protocol to determine measured V∙O2 peak, identify possible causes of exercise limitations and assess adverse reactions to exercise. The modified Bruce treadmill protocol may be considered an alternative if the Godfrey protocol cannot be used. Field tests have value in assessing functional exercise tolerance for certain circumstances and interim assessments, but cannot replace CPET. Both types of tests should be used to guide exercise prescription. Standardization of testing procedures will allow multicenter studies to ascertain best practices for implementing activity recommendations for individual patients.
This statement has addressed the question of how to use exercise testing for persons with CF. As exercise tolerance and physical fitness status are important information for management of this disease, it is critical that practitioners caring for people with CF understand how and when to perform exercise assessments. In this document, we have provided expert consensus guidelines for such testing. The final manuscript was approved by all authors and endorsed by the European Cystic Fibrosis Society and the European Respiratory Society.
Acknowledgements
The development of this statement was supported by the European Cystic Fibrosis Society and the Cystic Fibrosis Foundation and has also had input from the cystic fibrosis and pediatric respiratory physiology scientific groups of the European Respiratory Society. We are thankful to Dan Cooper and his group for hosting the meeting in Irvine, Calif., USA.
References
Members of the European Cystic Fibrosis Exercise Working Group are listed in the online supplementary table (for all online suppl. material, see www.karger.com/doi/10.1159/000439057).







