Abstract
Background: Obstructive sleep apnea (OSA) is closely related to systemic inflammation. Resistin is an adipocyte-derived cytokine (adipokine) that may link obesity with inflammation. Objective: We aimed to investigate whether incremental changes in OSA severity, from normal to severe, primarily affect the levels of resistin and other adipokines. Methods: Serum levels of resistin, interleukin-6 (IL-6) and leptin were examined in 31 men with OSA and 10 men without OSA, matched for age, body mass index (BMI) and several metabolic profiles. In 11 of the 31 men with OSA, these mediators were reexamined after 3 months of nasal continuous airway pressure (nCPAP) therapy. Results: Levels of resistin and IL-6 were simultaneously elevated in men with OSA compared with those in men without OSA (p < 0.05), while levels of leptin did not differ. The resistin and IL-6 levels tended to increase with increasing disease severity (p < 0.05), which was based on the apnea-hypopnea index (AHI). The average oxyhemoglobin saturation during sleep (p < 0.01) and IL-6 (p < 0.05) emerged as significant determinants of resistin, even after adjustments for age, BMI, leptin levels and metabolic risk factors. After nCPAP therapy, the elevated levels of resistin and IL-6 decreased, reaching almost baseline levels of controls. Before treatment, AHI correlated positively with the reduction rate in resistin (p < 0.05). Conclusion: In OSA patients, resistin production can be enhanced by hypoxic stress during sleep, possibly mediating systemic inflammatory processes. nCPAP therapy may play a beneficial role in the control of resistin production.
Introduction
Obstructive sleep apnea (OSA) is closely related to systemic inflammation [1]. A wide variety of pro-inflammatory mediators are elevated in the circulation of patients with OSA [2, 3, 4, 5, 6, 7]. Additionally, OSA patients have peripheral leukocytes which can generate larger amounts of cytokines [4, 8], adhesion molecules [9] and free radicals [10]. The inflammatory milieu may be responsible for the development of vascular involvement in OSA [1]. Indeed, the degree of carotid atherosclerosis correlates positively with the respiratory disturbance index [11] and cytokine levels [12].
Systemic inflammation is closely related to insulin resistance and the metabolic syndrome, a cluster of cardiovascular risks including glucose intolerance [13, 14, 15]. Such metabolic disruptions coexist frequently in patients with OSA; in turn, the presence of OSA has emerged as an independent risk factor for insulin resistance [16, 17, 18] and the metabolic syndrome [19, 20]. The association between metabolic consequences in OSA and inflammation has not been fully elucidated. Resistin is an adipocyte-derived cytokine (adipokine) that may contribute to the development of obesity [21, 22, 23, 24], insulin resistance [25, 26] and the metabolic syndrome [15]. More recent studies have shown the causative association between resistin and systemic inflammation [27, 28], especially in the vascular endothelium [29]. From the viewpoint of inflammation, it is notable that plasma resistin concentrations increase with increasing inflammatory mediator levels, predicting the severity of coronary atherosclerosis [30].
An investigation of resistin therefore provides a better understanding of complex links between OSA and metabolic disorders, inflammation and cardiovascular involvements. This issue has been addressed only by Harsch et al. [31], who examined serum resistin levels merely in patients with severe OSA, concluding that the pathophysiology of OSA is not related to resistin levels [31]. This disparity, however, derives from the selected population that lacks both appropriate controls and patients with milder forms of OSA. To detect a meaningful association, we conducted a cross-sectional survey of resistin, including subjects with a wide range of disease severity in the study.
The primary aim of the present study was to investigate whether the incremental changes in OSA severity, from normal to severe, primarily affect resistin levels. The secondary aim was to assess for associations between resistin and interleukin-6 (IL-6) and leptin, both of which belong to the adipokine family linking obesity with insulin resistance and inflammation [32, 33, 34]. We further evaluated the therapeutic effect of nasal continuous airway pressure (nCPAP) therapy on these mediators.
Patients and Methods
Study Participants
The Ethics Committee of the Dohoku Hospital approved this protocol, and all participants gave informed consent. Between January 2003 and March 2006, we consecutively recruited 31 men with newly defined OSA. None had undergone any treatment for OSA. The definition of OSA was based on a combination of clinical symptoms (i.e. daytime excessive sleepiness) and at least one round of a standard polysomnography. OSA was diagnosed when the apnea-hypopnea index (AHI) was ≥5 events per hour. A total of 10 men, who snored but had an AHI of <5 events per hour, were randomly recruited as controls. They were matched for age, smoking status, body mass index (BMI), fasting plasma glucose, lipid profiles and the homeostasis model assessment (HOMA) index. Exclusion criteria were as follows: (1) age >80 years; (2) diabetes mellitus defined by fasting plasma glucose ≥126 mg/dl; (3) ongoing medication for diabetes, dyslipidemia and hypertension; (4) current prescription of anti-inflammatory drugs and steroids; (5) the presence of any of the following medical conditions: clinically demonstrable chronic renal diseases, primary heart diseases and endocrine disorders; and finally (6) a history of a cardiovascular event or stroke.
Design of the Cross-Sectional Study
The cross-sectional association between untreated OSA and serum resistin levels was initially investigated. Following admission, smoking habits (never, current or former), medical history and regular medication use were recorded. Anthropometric data (height and weight) were recorded and BMI was then calculated as body weight (kg) divided by height squared (m2). Daytime blood pressure was measured at least twice between 8 and 11 a.m. after 10 min of rest in the supine position. In all subjects, chest roentgenogram, electrocardiogram and pulmonary function test were performed. Routine blood examinations included peripheral blood cell counts, liver enzymes, creatinine, fasting plasma glucose, fasting serum insulin, fasting serum triglycerides and high-density-lipoprotein cholesterol. Insulin resistance was evaluated using the HOMA index: plasma glucose (mg/dl) × insulin (µU/ml)/405 [35].
Except for obesity, the components of the metabolic syndrome were defined according to standard criteria [14]. Definition of obesity was based on the recommendation for the Asian population [36]. The metabolic score was given as the summed number of the following components positively identified: (1) BMI ≥25, (2) blood pressure ≥130/85 mm Hg, (3) elevation in serum triglycerides ≥150 mg/dl, (4) reduction in serum high-density-lipoprotein cholesterol <40 mg/dl and (5) fasting plasma glucose ≥110 mg/dl. The metabolic syndrome was diagnosed when the metabolic score was ≥3.
After polysomnography, fasting blood samples were taken between 7 and 8 a.m. to examine serum levels of resistin, IL-6 and leptin at baseline. These mediator levels were compared between OSA patients and control subjects. Based on the AHI, OSA patients were subdivided into either the mild-to-moderate OSA group (AHI = 5–30 events/h) or the severe OSA group (AHI ≥30 events/h). Analysis of covariance was then applied to investigate whether the incremental change in OSA severity can affect each mediator independently of age, BMI, smoking status and the metabolic score. Uni- and multivariate regression analyses were conducted within the entire population to identify significant predictors for each mediator. Stepwise multivariate regression models comprised explanatory variables including age, polysomnographic parameters, BMI, smoking status, the metabolic score and the HOMA index.
Design of the Follow-Up Study
Of the 31 patients with OSA, 11 underwent nCPAP therapy employing a device with an autotitrating system (Goodknight 420E; Tyco Healthcare, Tokyo, Japan). On the 2nd day from the induction, sleep parameters under nCPAP were obtained employing a portable monitor (Stardust; Respironics, Murrysville, Pa., USA). The median AHI was remarkably decreased after nCPAP therapy (from 39.9 to 5.5 events/h, p < 0.01). After 3 months of nCPAP therapy, anthropometric measurements and fasting blood collection were performed between 9 and 11 a.m. to examine BMI and serum levels of resistin and IL-6. Throughout the study, CPAP adherence was confirmed using the built-in data stores in the CPAP device.
Polysomnography
Polysomnographic parameters were continuously recorded via a computerized data acquisition system (Alice-3; Healthdyne, Atlanta, Ga., USA). The following parameters were documented: sleep stage (electroencephalogram and electro-occulogram), electrocardiogram, nasal airflow, thoracic and abdominal movements and oxyhemoglobin saturation (SpO2). Apnea was defined as complete cessation of nasal airflow for at least 10 s. Hypopnea was defined as a ≥50% reduction in nasal airflow lasting at least 10 s, with oxygen desaturation ≥3%. The AHI was calculated as the average number of apnea plus hypopnea events per hour of sleep. The degree of nocturnal hypoxia was assessed using the percentage of time that SpO2 decreased below 90% during total sleep time (time SpO2 <90%) and average SpO2 during sleep.
Laboratory Assays
Blood samples were centrifuged immediately after collection and separated serum was stored at –80°C until assayed. Resistin, leptin, IL-6 and insulin were measured by commercial enzyme-linked immunosorbent assay kits (resistin and leptin, R & D Systems, Minneapolis, Minn., USA; IL-6 and insulin, BioSource International, Camarillo, Calif., USA). The intra- and interassay coefficients of variation in these assay kits ranged from 4 to 9%. Plasma glucose levels were measured by the electrode method.
Statistical Analysis
Continuous variables are expressed as means ± SE, if normal distribution was accepted by the Kolmogorov-Smirnov test. Skewed variables are given as medians (interquartile ranges) and were logarithmically transformed prior to analysis. Comparison between OSA patients and controls was made using the unpaired t test for continuous variables or the χ2 test for categorical data. Independent associations between disease severity of OSA and circulating mediators were evaluated by analysis of covariance, which consisted of age, BMI, smoking status and the metabolic score as covariates. Multiple comparisons were made using the test with Bonferroni correction. Univariate correlation was assessed using Pearson’s correlation coefficients. The relative strength of the correlations was assessed using stepwise multivariate linear regression analysis. Differences in variables before and during nCPAP therapy were assessed using the paired t test. Statistical analysis was performed using SPSS (version 14.0; SPSS, Chicago, Ill., USA). p < 0.05 was considered statistically significant.
Results
Baseline Characteristics of the Study Subjects
The mean age and BMI, and the percentage of chronic smokers did not differ between control subjects and patients with OSA. Newly defined components of the metabolic syndrome are listed in table 1. The metabolic score was modestly higher in patients with OSA (p = 0.18), yielding a weak trend towards a higher incidence of the metabolic syndrome (p = 0.31). Hypertension was the only component diagnosed predominantly in patients with OSA (p < 0.01), while the other components were equally prevalent. No differences existed in fasting glucose levels, serum insulin concentrations and the HOMA index.
Polysomnographic Evaluation and Baseline Assessment of Adipokines
Compared with control subjects, patients with OSA had greater AHI, longer time SpO2 <90% and lower average SpO2 during sleep time (table 2). AHI showed striking univariate correlations with average SpO2 and time SpO2 <90% (r = –0.737 and 0.772, p < 0.0001). Of the 31 patients, 16 had mild-to-moderate OSA and 15 had severe OSA, with an average AHI of 16.1 and 51.1 events/h. There were no differences in the baseline characteristics between the two OSA subgroups (data not shown).
Serum levels of resistin and IL-6 were elevated in patients with OSA compared with controls (p < 0.05 and p < 0.01, respectively; table 2). In contrast, serum levels of leptin were similar between OSA patients and controls (table 2). When the study population was stratified into two groups based on the presence or absence of hypertension, there were no differences in resistin and IL-6 levels between the groups (data not shown).
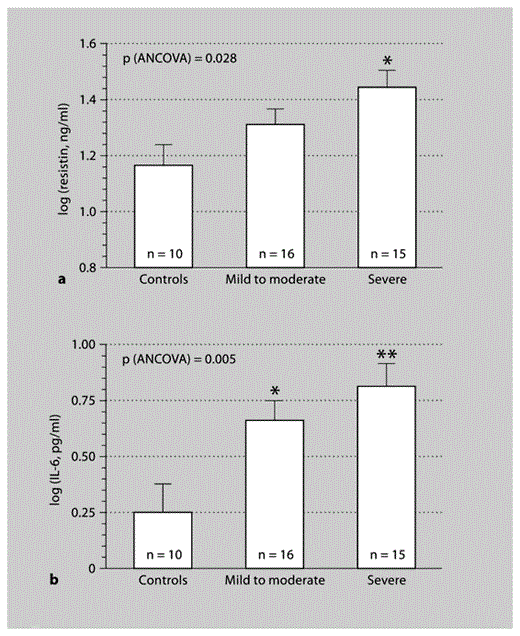
To assess the effect of disease severity on resistin and IL-6, we developed analysis of covariance models consisting of age, BMI, smoking status and the metabolic score as covariates. Consequently, adjusted values of resistin (p = 0.028) and IL-6 (p = 0.005) tended to increase with increasing disease severity. Multiple comparisons revealed that resistin and IL-6 levels were higher in the subgroup with severe OSA than in the controls, independently of confounders (p < 0.05 and p < 0.01, respectively; fig. 1).
log-transformed values of serum resistin (a) and IL-6 (b) in controls (AHI <5), and patients with mild-to-moderate (AHI 5–30) and severe OSA (AHI ≥30). Values were adjusted for age, BMI, smoking status and the metabolic score. * p < 0.05 and ** p < 0.01 vs. controls.
log-transformed values of serum resistin (a) and IL-6 (b) in controls (AHI <5), and patients with mild-to-moderate (AHI 5–30) and severe OSA (AHI ≥30). Values were adjusted for age, BMI, smoking status and the metabolic score. * p < 0.05 and ** p < 0.01 vs. controls.
Association of Resistin with OSA and Systemic Inflammation
Resistin had striking univariate correlations with AHI, time SpO2 <90%, average SpO2 and IL-6 (p < 0.01), but not with markers of adiposity (BMI and leptin), the metabolic score and the HOMA index (table 3). Likewise, IL-6 correlated positively with AHI, time SpO2 <90% and resistin (r = 0.332, 0.294 and 0.412, respectively, p < 0.05). Leptin strongly correlated with BMI and the HOMA index (r = 0.444 and 0.283, respectively, p < 0.05) but had a marginal link with AHI (r = 0.220, p = 0.08).
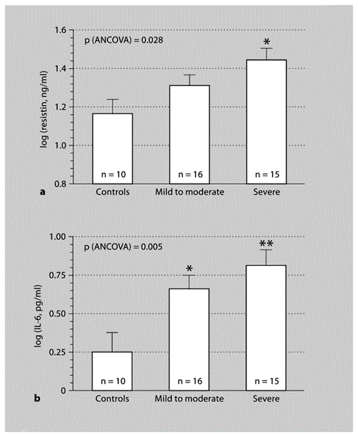
As shown in table 3 and figure 2, resistin had independent linear relationships with average SpO2 (p = 0.003) and IL-6 (p = 0.02) in the multiple regression model controlling for age, BMI, smoking status, the metabolic score, leptin and the HOMA index (R2 = 0.343, p < 0.0001). This model could explain 34.3% of the variation in resistin. When average SpO2 and time SpO2 <90% were excluded from the regression model, AHI emerged as a significant predictor (R2 = 0.203, p = 0.003).
Correlation between resistin and average SpO2 (a) and IL-6 (b) in the entire study population (n = 41). r values: Pearson’s correlation coefficients.
Correlation between resistin and average SpO2 (a) and IL-6 (b) in the entire study population (n = 41). r values: Pearson’s correlation coefficients.
In turn, the multiple regression model for IL-6 identified resistin as the only predictor (R2 = 0.170, p = 0.007). When resistin was eliminated from the independent variables, AHI emerged as the only predictor of IL-6 (R2 = 0.110, p = 0.034). These results indicated that AHI was significantly linked with resistin and IL-6, but its relative contribution appeared weaker than those of average SpO2 and resistin, respectively.
Changes in Resistin and IL-6 Levels before and after nCPAP Therapy
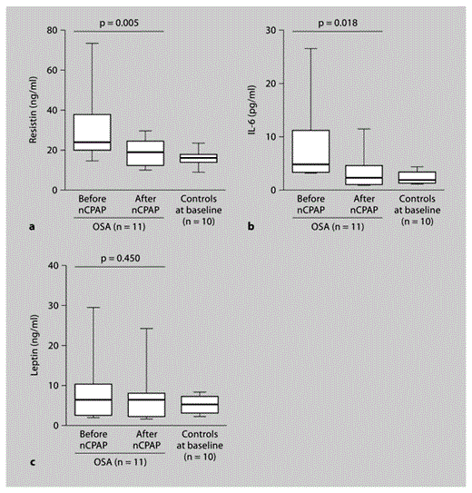
After 3 months of nCPAP therapy, the CPAP compliance in 11 patients averaged at 5.1 ± 0.4 h/night (mean ± SE). BMI remained unchanged before and after nCPAP therapy (mean ± SE: 29 ± 2 vs. 29 ± 2, p > 0.05). In all cases, serum resistin levels were reduced after nCPAP (p = 0.005; fig. 3). Levels of IL-6 were also reduced compared with the values before treatment (p = 0.018), while leptin levels were unaltered (fig. 3).
Serum resistin (a), IL-6 (b) and leptin (c) levels before and after nCPAP therapy in patients with OSA (n = 11) and those at baseline in controls (n = 10). Box-whisker plots represent interquartile and data ranges. Horizontal lines within the box denote medians.
Serum resistin (a), IL-6 (b) and leptin (c) levels before and after nCPAP therapy in patients with OSA (n = 11) and those at baseline in controls (n = 10). Box-whisker plots represent interquartile and data ranges. Horizontal lines within the box denote medians.
After treatment, resistin and IL-6 levels approached baseline values in control subjects, whereas after treatment BMI was modestly greater than the baseline BMI in controls (means ± SE: 29 ± 2 vs. 27 ± 2). Before treatment, AHI correlated positively to the reduction rates in resistin (r = 0.690, p = 0.018; fig. 4), indicating that the baseline AHI could predict the reduction in resistin when OSA was successfully treated with nCPAP.
Correlation between the baseline AHI and the reduction rate of resistin (n = 11). r value: Pearson’s correlation coefficient.
Correlation between the baseline AHI and the reduction rate of resistin (n = 11). r value: Pearson’s correlation coefficient.
Discussion
We have demonstrated that untreated OSA patients had higher levels of serum resistin and IL-6 than controls. These mediators were increased depending on the disease severity of OSA. The average SpO2 saturation during sleep and IL-6 emerged as primary determinants of resistin. The cross-sectional association between OSA and resistin was independent of BMI, leptin levels and several metabolic risk factors. After nCPAP therapy, serum levels of resistin and IL-6 were reduced, reaching almost baseline levels in controls. Before treatment, AHI was capable of predicting the reduction rate of resistin. These results indicate that OSA is independently associated with resistin, possibly mediating systemic inflammatory processes.
OSA has increasingly been associated with systemic inflammation [1]. We found that, for the first time, serum levels of resistin and IL-6 were simultaneously raised with increasing disease severity of OSA. The effect of AHI turned insignificant in multivariate linear regression analysis, probably due to the presence of independent variables showing co-linearity to AHI. Following exclusion of such variables, the modified models identified AHI as a primary predictor of both mediators. Removal of OSA by nCPAP resulted in the reduction of both resistin and IL-6 levels, without a change in the other adipokine, leptin. These results strongly suggest that the pathophysiology of OSA can activate resistin and IL-6 production simultaneously. It is noteworthy that a striking linkage existed between resistin and IL-6. This association was independent of BMI, even though both mediators originate partly from adipose tissue [24, 32]. These results are in line with the earlier observation that peripheral monocytes, but not adipose tissue, are a major source of circulating IL-6 in patients with OSA [4]. We propose that the presence of OSA can activate peripheral leukocytes, promoting resistin and IL-6 production through the common pathways. This notion can be explained based on the following evidence: first, circulating monocytes/macrophages emerge as major sources of resistin in humans [37]; second, resistin expression is regulated by the nuclear factor-ĸB signaling pathway [27, 28], and, finally, circulating levels of resistin are positively correlated with those of soluble tumor necrosis factor-α receptor [38], IL-6 [30, 31] and C-reactive protein [39, 40]. Given the pro-inflammatory properties of resistin, OSA is likely to mediate resistin expression as a part of systemic inflammation. In addition, such putative mechanisms underlying the resistin production may distinctly differ from those of leptin.
The pathophysiological changes in OSA can activate peripheral neutrophils and monocytes, leading to enhanced generation of cytokines [4, 8], resulting in the elevated levels of pro-inflammatory mediators [2, 3, 4, 5, 6, 7]. Nocturnal hypoxia has emerged as a primary candidate to enhance inflammatory cascades in OSA [1, 6, 12, 41]. These facts support our finding that the average SpO2 during sleep was identified as a strong predictor of circulating resistin, leading to the question of whether hypoxia induces resistin production either directly or indirectly. We speculate that intermittent hypoxia may directly enhance resistin production during sleep, because cyclical stimulation of hypoxia selectively activates the nuclear factor-ĸB signaling pathway in both in vitro experiments [41] and clinical studies [6]. This process may up-regulate resistin expression in circulating monocytes, leading to an increase in resistin release into the peripheral circulation.
The novel finding of this study was that OSA was closely associated with increased serum resistin levels, independently of BMI. In addition, obesity is unlikely to explain the increased resistin levels in OSA. Consequently, baseline levels of leptin did not differ between OSA patients and BMI-matched controls. This result suggests that visceral adiposity was similar between both groups, since circulating leptin levels can precisely reflect visceral fat volume [33, 42]. Our findings are consistent with clinical observations showing no apparent correlations between resistin and BMI, fat mass and waist circumference [26, 43]. In contrast, several inflammatory markers are shown to correlate with resistin levels even after adjustment for BMI [38, 39, 40]. These facts support the notion that OSA-linked inflammation, but not obesity, plays a crucial role in the control of resistin production.
The missing link between resistin and obesity is also evidenced by in vitro studies. In freshly isolated adipocytes, resistin mRNA levels are quite low and show no correlation with BMI [37]. Although resistin gene expression is abundant in pre-adipocytes, it is down-regulated during adipogenic differentiation to mature adipocytes [44]. These facts strongly suggest that the ability to generate resistin is decreased in mature adipose tissue. It is therefore not surprising that body mass and leptin cannot predict resistin levels in the cross-sectional observation.
OSA is associated with altered levels of several adipokines including leptin [18, 45, 46] and adiponectin [47, 48]. Circulating leptin levels have been found to increase with increasing sympathetic activity [45]. Given that resistin production is susceptible to autonomic regulation, it is conceivable that the sympathetic overflow in OSA augments both leptin and resistin production. This notion, however, seems unlikely because β-adrenergic stimulation can reduce resistin expression in cultured adipocytes [49]. In the present study, no independent correlation was detected between the levels of leptin and resistin, suggesting that these adipokines are generated through different regulatory mechanisms.
Another explanation for the altered adipokine levels comes from the impaired insulin sensitivity in OSA [18, 47]. In line with the present study, leptin is known to modulate obesity-linked insulin sensitivity [33, 42]. Adiponectin, an enhancer of insulin action, may be linked with insulin resistance in patients with OSA [47]. Unlike such adipokines, resistin appeared to dissociate with insulin resistance in the present study. The causative role of resistin in insulin resistance is still under debate. Many, but not all studies have denied the role of resistin in impaired insulin sensitivity [22, 23, 40, 43]. Contrarily, some have implicated resistin in the pathogenesis of insulin resistance [25, 26] and the metabolic syndrome [15]. These metabolic disorders therefore may confound the effect of OSA on resistin. To exclude this possibility, we carefully matched cases and controls for several metabolic profiles. Consequently, resistin was found to increase in OSA patients, irrespective of leptin levels, the HOMA index and the metabolic score. Effective nCPAP therapy could reduce resistin and IL-6 levels without changes in BMI and leptin levels, indicating that resistin is closely related to systemic inflammation, but not to the metabolic consequences, in OSA.
Signs of premature atherosclerosis and endothelial dysfunction are detectable in OSA [11, 12, 50]. Atherogenic inflammatory cytokines are increased in the circulation of OSA patients, correlating to the degree of intima-media thickness [12]. Given that resistin can promote inflammation, the increase in resistin induced by OSA is likely to participate in the atherogenic process. Therefore, resistin can directly induce endothelial activation, up-regulating endothelial expressions of adhesion molecules and chemokines [29]. These actions of resistin possibly augment leukocyte adhesion, consequently activating inflammatory responses in vascular endothelium [29]. Indeed, in a large-scale epidemiological study, high plasma resistin levels are capable of predicting the severity of coronary atherosclerosis [30]. Unfortunately, we did not examine arterial structures employing relevant physiological measures. Further study is needed to clarify any meaningful association between resistin and vascular reactivity in OSA.
There are some limitations to the interpretation of our observations. First, the present study depends on cross-sectional observation within relative small samples. All study participants were free of known medicated diseases; however, mild hypertension (blood pressure >130/85 mm Hg) was more prevalent in OSA patients. Although subjects with or without hypertension had similar levels of resistin, our sample size was too small to detect statistically significant differences. Further study is needed to investigate resistin in otherwise healthy individuals without OSA. Second, we examined resistin only in men, because the gender dimorphism is present in serum or plasma resistin levels [21, 23, 40]. There is limitation on translating the results readily to women with OSA. Third, the question of whether an altered AHI has a linear relationship with the reduction in resistin levels remains to be answered, since an overnight polysomnography was not conducted after nCPAP evaluation. However, in all treated cases, nCPAP was considered effective on the 2nd day of assessment, and its adherence was maintained throughout the study period. Finally, the effects of hypoxia on resistin synthesis should be tested ex vivo using cultured adipocyte or extracted adipose tissue.
In conclusion, the present study demonstrates that resistin production in OSA patients can be enhanced by hypoxic stress during sleep, mediating inflammatory processes. Furthermore, nCPAP therapy may play a beneficial role in the control of resistin production.






