Abstract
Background: Bariatric surgery has a considerable effect on weight loss. A positive relation of exercise and weight loss has been described before. However, the mode of exercise and its timing pre- or postoperatively or a combination remains unclear. Methods: A multi-database search was conducted. Identified articles were reviewed on description of exercise, timing around a bariatric intervention, and outcome. Methodological quality of the included studies was rated using the Physiotherapy Evidence Database scale. A Cohen's kappa score assessed the level of agreement. Outcome measurements were improvement of anthropometric and physical fitness variables, operation related complications, weight regain, and quality of life. Results: A total of 8 prospective studies were included. Four focused on training before and 4 on training after a bariatric procedure. Details of exercises varied from 45 min treadmill up to full descriptive programs. Supervision was frequently included. Significant improvement was encountered for biometric results physical fitness variables. Conclusion: In the majority of reports on exercising in a (future) bariatric population, positive effects on anthropometrics, cardiovascular risk factors and physical fitness were described. However, the results were not unanimous, with a wide range of exercise programs and perioperative timing, therefore hampering adequate practical guidance.
Introduction
Obesity is a major contributor to a wide variety of diseases, including diabetes, hypertension, dyslipidemia, and obstructive sleep apnea syndrome [1,2]. Over the last decades, dietary and exercise interventions had increasing public health and governmental attention. Nevertheless, the proportion of the population with morbid obesity gained every year [3]. The only treatment with a longstanding effect is bariatric surgery [4,5]. However, these interventions are no universal remedy and a considerable proportion of patients has insufficient weight loss or regain in weight over time after the operation [6].
The key elements for durable weight loss are preoperative screening, an appropriate algorithm of bariatric techniques, and, most important, a strict regime of follow-up. Follow-up should include medical and psychological guidance, including continuing dietary advice and maintenance of a physical exercise regimen.
There is extensive knowledge that exercise helps to gain a better physical fitness and quality of life (QoL). A Cochrane review showed a reduction of 1.5 kg that was contributed to exercise [7]. Another systematic review focusing on physical training and obesity found a 4% excess weight loss [8]. In their review, Egberts et al. [9] found a reduction of 3.6 kg related to physical exercise. In each of these three reviews, only prospective cohort studies were included as no randomized controlled trials could be identified. Weight measurement was merely self-reported, and in the majority of studies the mode of physical activity was not defined. However, the positive relationship between exercise and weight loss seems evident. The problem is; what kind/type/mode of exercise should an obese patient be advised and what about its timing - pre- or postoperatively or a combination of both? These questions were the objective of the present systematic review.
Material and Methods
A systematic search on the qualitative aspects and timing of physical exercise in bariatric surgery patients was conducted. The population of interest consisted of obese patients with a BMI ≥ 30 kg/m2. The intervention of interest was exercise training compared to regular care (no specific physical exercise training program). Also included were the different modes of exercise training; those were compared to each other. Outcome measurements were: improvement of anthropometric and physical fitness variables, effect on weight, and quality of life.
Pubmed, Embase, and CINAHL were searched from the earliest date of each database up to July 2014. The search for publications was performed using the following search string: ((‘Bariatrics'[Mesh] OR bariatrics OR bariatric surgery OR ‘Obesity, Morbid'[Mesh] OR morbid obesity)) AND (‘Physical Therapy Modalities'[Mesh] OR physical therapy OR physiotherapy OR ‘Exercise'[Mesh] OR exercise).
The authors MW and SP, blinded for authors and journals, separately screened and selected the studies on the basis of title and abstract. After primary selection, both authors reviewed the full text of the selected studies to determine suitability for inclusion, based on the established selection criteria.
- Randomized controlled trial or prospective trial.
- Patients awaiting bariatric surgical intervention or with bariatric surgery in the past.
- A description of an exercise program, defined as a regimen of physical activities, included.
- Modes of exercise training were defined as follows: strength training and/or endurance training or a combination of both. Also multimodal programs with exercise components were included.
- Registration of anthropometric and physical fitness variables, complications, effects on weight, and QoL.
• Physical fitness variables are defined as a percentage of VO2 max and/or heart rate reserve / heart rate kinetics.
In addition cross-references were screened for further eligible studies. Disagreements between the two authors were resolved by discussion and by consultation of the senior authors (JT, SN), until consensus was reached. It was presupposed to be confronted with a significant clinical heterogeneity for which a systematic review could be performed, but not a meta-analysis
The methodological quality of the included studies was rated using the Physiotherapy Evidence Database (PEDro) scale [10], which has acceptable reliability [11]. The PEDro scale consists of 11 criteria, with a maximum score of 10 (range 0-10) since the first item (the specification of the eligibility criteria) is not included in the total score. Two authors (MW and SP) separately assigned PEDro scores to each included study. For rating the methodological quality, the following classification was used: a PEDro score of 4 indicated a poor methodological quality, a score of 4-5 fair quality, a score of 6-8 good quality, and a score of 9-10 excellent quality [12]. A Cohen's kappa score assessed the level of agreement between the authors. The score was determined as follows: <0.20 poor agreement, 0.21-0.40 fair agreement, 0.41-0.60 moderate agreement, 0.61-0.80 good agreement, and 0.81-1.00 very good agreement [13].
Results
The primary search produced 1,023 results, including 81 duplicates. 16 studies were identified as possibly relevant and underwent a full text critical appraisal, resulting in 8 exclusions. One study investigated exercise programs for Prader-Willi patients [14], 3 studies investigated pulmonary physiotherapy in the bariatric population [15,16,17], 1 publication appeared to be a case report [18], 1 was a research protocol [19], 1 article was only available in Swedish [20], and 1 article was only available in Spanish [21].
Figure 1 summarizes the search results. The methodological quality of the included studies ranged from moderate to good quality, as indicated by the PEDro scale (table 1). The level of agreement between reviewers (MW and SP) was reflected by a Cohen's kappa 0.78, which represents a good agreement. The key findings of the included studies are shown in table 2 for those with exercise before and in table 3 for those with exercise after bariatric surgery.
Study Designs and Patient Population
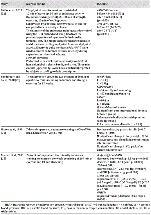
In total 4 studies with exercise before bariatric [22,23,24,25] and 4 studies with exercise after bariatric surgery [26,27,28,29] were included. There were 3 randomized controlled trials [23,26,27] and 5 prospective trials [22,24,25,28,29], including a patient population with a mean age ranging from 28 to 54 years and a mean BMI ranging from 40.4 to 48.7 kg/m2. In the 4 studies with exercise before surgery, follow-up was done preoperatively and 7 days after surgery [24], preoperatively and 12 weeks after surgery [22,23], or preoperatively and 24 weeks after surgery [25]. Of the 4 studies with exercise after surgery, 1 had postoperative follow-up only at 12 weeks [26] and 3 had preoperative and postoperative follow-up (1 week preoperatively and 4 weeks postoperatively [27], preoperatively (unknown how long) and 4 months postoperatively [28], or 1 week preoperatively and 10 days postoperatively [29]).
Exercise before Bariatric Surgery
Anthropometric Variables
Four studies reported on the effects of exercise training on the anthropometric variables. Baillot et al. [22] reported a significant reduction in weight (144.3 vs. 140.2 kg; p = 0.07), BMI (51.4 vs. 47.2 kg/m2; p = 0.004), neck circumference (42.2 vs. 41.0 cm; p = 0.016), and fat mass (72.1 vs. 69.1 kg; p = 0.026) after supervised exercise training in 12 patients awaiting bariatric surgery.
Funderburk and Callis [23] showed a reduction in body weight of 5.0 kg after 12 weeks of supervised aquatic exercises in the intervention group and of 2.3 kg in the control group. It was not reported whether this is a significant decrease. There was no significant change in body weight and free fat mass after a 7-day exercise regimen in a study by Hickey et al. [24]. In contrast, Marcon et al. [25] found a significant decrease in body weight (-5.3 kg; p < 0.001) and BMI (-1.9 kg/m2; p < 0.001) after a 24-week supervised low-intensity endurance training.
Compliance
Baillot et al. [22] had a high compliance to the preoperative exercise training program. They proposed 35 supervised exercise sessions in 12 weeks. Seven patients completed the full program, and 5 had bariatric surgery before the end of the program. With median 57.3% (32.5-77.6%) and 64.5% (47.5-79.9%), the attendance to the supervised exercise sessions and the total exercise sessions, respectively, was satisfactory.
Blood Pressure
After 12 weeks of aquatic exercises, Funderburk and Callis [23] found an increase in systolic blood pressure and a decrease in diastolic blood pressure in the intervention group (+34 mm Hg and -4 mm Hg, respectively). In the control group, there was a decrease of the systolic blood pressure (-57 mm Hg) while the diastolic blood pressure remained unchanged [23]. After 24 weeks of supervised endurance training, Marcon et al. [25] reported a significant decrease in systolic and diastolic blood pressure (-23.8 mm Hg (p = 0.007) and -14.4 mm Hg (p = 0.001) respectively).
Cardiovascular Risk Factors and Inflammation
Hickey et al. [24] reported a significant decrease of fasting plasma insulin (-41.7 pmol/l) after 7 days of supervised exercise training, 60 min per day. There were no significant changes in glucose and blood lipid concentration after the exercise intervention [24].
In the study by Marcon et al. [25], a significant improvement was seen in blood lipid and glucose concentrations after 24 weeks of supervised endurance training (total cholesterol -23.0 mg/dl; HDL-cholesterol +1.7 mg/dl, LDL-cholesterol -2.3 mg/dl, triglycerides -26.7 mg/dl, glucose -17.2 mg/dl (for all p < 0.007)).
Physical Fitness and Functional Capacity
Baillot et al. [22] found that all 12 patients completed the baseline symptom limited treadmill test with a median duration of 11.5 min (11.1-12.4 min). No major cardiac complication was noted during or after the test. The 6-min walk test distance, the time of the half-squat test, and the number of flexion during the arm curl test were all significantly (p < 0.05) increased after the preoperative exercise program [22].
Funderburk and Callis [23] showed an increase in the 6-min walking test distance of 10.4 m after 12 weeks of aquatic exercises, but strangely the control group showed an increase of 40.2 m. After 24 weeks, Marcon et al. [25] also saw an improvement of the 6-min walking test distance (+69.8 m; p < 0.0001).
Aerobic Capacity
Hickey and coworkers [24] reported that after 7 days of supervised exercise there was no significant difference in maximal oxygen uptake (which was measured by VO2 peak) indicating that there is no increase in physical fitness.
QoL and Satisfaction
Baillot et al. [22] showed that each of their 12 patients who were in the exercise program improved at least one level for endurance training and two levels for strength training. This increase appeared to be greater in the patients who trained longer. All patients were satisfied by the coaching and the advices given by the exercise professionals [22].
Also the total health-related QoL significantly improved after the exercise intervention (p = 0.012). On the domains of emotions, social interaction and sexual life they also noted a significant improvement (p = 0.002, p = 0.025 and p = 0.003, respectively) [22]. Unfortunately, no significant change was seen in symptoms (p = 0.25), activity/mobility (p = 0.07), and personal hygiene/clothing (p = 0.078) scores. [22]
Measured by the Short Form 36 (SF-36) questionnaire and the Beck Depression inventory, Funderburk and Callis [23] found no significant postintervention difference between groups. In the aquatic exercise group, there was a significant decrease in bodily pain and a significant decrease of the depression score after 12 weeks (p < 0.05). In the control group, there was a significant increase in mental health (p < 0.05) [23].
Exercise after Bariatric Surgery
Anthropometric Variables
Four studies reported on the effects of exercise training on the anthropometric variables.
Stegen et al. [28] investigated the effect of an exercise program after gastric bypass surgery and found that both groups (gastric bypass + exercise training (GB+E) compared with gastric bypass only (GB)) had the same decrease 4 months postoperatively with regard to weight (GB -26.6 ± 14.6 kg; GB+E -22.7 ± 5.7 kg), BMI (GB -8.3 ± 4.1 kg/m2; GB+E -8.1 ± 2.5 kg/m2), and waist circumference (GB -20.3 ± 11.6 cm; GB+E -17.2 ± 8.1 cm) [28].
Castello-Simoes et al. [27] investigated a post-bariatric training program and used three groups: a trained group (TG), a eutrophic group (EG) and a control group (CG). They found that there was a significant reduction in weight (TG: before 115.0 ± 6.9 kg; after 92.0 ± 5.1 kg, CG: before 113.0 ± 4.7 kg, after 89.0 ± 3.4 kg) and BMI (TG: before 45.5 ± 1.7 kg/m2; after 36.5 ± 1.3 kg/m2, CG: before 43.6 ± 1 kg/m2, after 34.2 ± 1.1 kg/m2) in TG and CG 4 months after bariatric surgery compared to the preoperative values [27].
Berggren and colleagues [29] investigated the skeletal muscle lipid oxidation before and after 10 days of endurance orientated exercise training. They found a significant weight loss after 10 days of exercise (p < 0.05) [29].
Shah et al. [26] investigated a high-volume exercise program in 20 patients and found that in both the exercise group and the control group there was a significant reduction in body weight and hip circumference after 12 weeks (compared to baseline values).
Cardiovascular Risk Factors and Inflammation
In contrast to the above mentioned, Shah et al. [26] found no difference in cardiovascular risk factors after a high-volume exercise training program compared to the control group.
Physical Fitness and Functional Capacity
Castello-Simoes et al. [27] reported a significant increase in the 6-min walking test distance after exercise training and bariatric surgery (470 ± 23.9 vs. 515.0 ± 14.0 m). Shah et al. [26] found a significantly increased energy expenditure and time spent on exercise in high-volume exercise group per day.
Aerobic Capacity
In a maximal bicycle ergometer test before bariatric surgery, Stegen et al. [28] found that both groups (GB (gastric bypass only) and GB+E (gastric bypass and postoperative exercise program) reached their ventilator anaerobic threshold (VAT) at the power (GB = 93 ± 24 W; GB+E = 90 ± 24 W) with an equal time of occurrence (GB = 270 ± 107 s; GB+E = 266 ± 133 s) [28]. Gastric bypass surgery did not improve time of occurrence of VAT and power at VAT. When patients followed an exercise program (GB+E group) postoperatively, the time of occurrence of VAT was delayed (349 ± 19 s) [28]. Also Stegen and colleagues [28] registered the peak exercise parameters. In the preoperative phase, morbidly obese patients reached a peak oxygen uptake of 17.4 ± 4.9 ml/kg/min (GB) and 17.6 ± 3.2 ml/kg/min (GB+E). Unfortunately, absolute peak oxygen uptake and power did not improve 4 months after an intensive exercise program, nor by bariatric surgery.
Castello-Simoes et al. [27] reported a significant increase of the predicted forced vital capacity (94.0 ± 3.1vs. 101.0 ± 2.5) in the trained group 4 months after bariatric surgery [27]. In the same group there was a significant reduction of the dyspnea score (5.8 ± 0.6 vs. 2.7 ± 0.8) 4 months after bariatric surgery.
Muscle Strength
Stegen et al. [28] found that the untrained patients (who only had a GB) had a decrease in dynamic muscle strength 4 months postoperatively. They have lost 16% of their quadriceps strength, 36% of their biceps strength, and 39% of triceps strength. Patients who had a GB followed by a postoperative exercise program prevented this decrease. Biceps (21.8 ± 8.0 vs. 25.9 ± 13.0 kg) and triceps (24.3 ± 10.1 vs. 30.7 ± 23.0 kg) strength were preserved, and both hamstrings and quadriceps strength increased (by 72% and 27%, respectively) due to the exercise program [28]. Static muscle strength, which is measured as handgrip strength, decreased in both groups 4 months after GB surgery (GB 18%, GB + exercise 7%). Muscle fatigue was neither influenced by GB surgery nor by an additional exercise training program [28].
Fatty Acid Oxidation
Berggren et al. [29] studied the effect of weight loss through exercise training on the muscle fatty acid oxidation. Muscle fatty acid oxidation in extremely obese women who had lost weight (approximately 50 kg) was compared with that of extremely obese and lean individuals [29]. There was no difference in muscle fatty acid oxidation between extremely obese persons and the weight loss group. Fatty acid oxidation was depressed compared with the lean individuals (-45%; p < 0.05). In contrast, 10 days of exercise training increased fatty acid oxidation in the skeletal muscle of lean, obese and previously extreme obese subjects after weight loss by the factor of 1.7, 1.8 and 2.6, respectively [29].
QoL and Satisfaction
Shah et al. [26] reported a significant improvement in the high-volume exercise group with respect to the health-related QoL in several domains including physical function (p = 0.049), self-esteem (p = 0.0002), sexual life (p = 0.02), public distress (p = 0.003), and the total score (p = 0.0004) over 12 weeks. The control group showed a significant improvement in self-esteem (p = 0.004), sexual life (p = 0.04), work (or daily activities) (p = 0.04), and the total score (p = 0.012). [26] There was no group-by-week interaction for any of the scales, except for self-esteem, which was approximately p = 0.05. The data from the SF-36 questionnaire showed that there was no group-by-week interaction for any of the scales, but the high-volume exercise group reported a significant improvement in emotional wellbeing (p = 0.001), energy levels (p = 0.0002), and mental QOL total score (p = 0.006) over 12 weeks, whereas QoL in the control group did not change [26].
Discussion
Considering the great value assigned to exercise, a search for evidence provided a relatively little number of prospective studies addressing this subject in relation to bariatric surgery. In the majority of reports a positive effect on anthropometrics, cardiovascular risk factors, and physical fitness was described. However, the results were not unanimous, with a wide range of exercise programs and perioperative timing, therefore hampering adequate practical guidance. Simplifying the common findings, an exercise program lasts for a median of 12 weeks, has an intensity of median 65% peak heart rate/VO2 max, and is at least partially supervised (table 4).
Two systematic reviews [30,31] assessed the impact of physical exercise and fitness in obese individuals, but without an in-depth analysis of the perioperative timing and the type of exercise needed to improve health in the bariatric population. The results of exercise in terms of weight loss and changes of other anthropometric variables have been described before [1,2,3]. However the type of exercise used to achieve this weight loss was not specified/given in detail. These details could be relevant as exercise regimes can include endurance training, strength training, or combinations of both components. Unfortunately, it is difficult to assess the appropriate type and amount of physical activity for the bariatric surgical patient. It is unclear if preoperative exercise has the same effect as postoperative exercise. Also there is no uniformity with regard to the outcome variables, and little is known about the effect of exercise programs on the weight regain after bariatric surgical interventions. Nevertheless, it is known that exercise results in significant changes of anthropometric parameters [22,23,24,25,26,27,28,29] and greater weight loss than bariatric surgery alone [7,8,9].
Exercise training demonstrates favorable effects on body composition, blood pressure control, insulin sensitivity, inflammation biomarkers, and subclinical carotid atherosclerosis (CIMT). These effects have been associated with evidence of removal of oxidized phospholipids from the vessel wall, stabilization of atherosclerosis and positive changes in LDL-cholesterol [32]. These changes have a strong correlation with increase in vascular function and regression in the burden of atherosclerosis [33]. Ahmadi et al. [34] showed that the CIMT decrease was significantly greater in response to a 7-month exercise program than statin or niacin therapies in the ARBITER 6 trial [35]. In other words, exercise training reduces cardiovascular risk in obese individuals.
Bariatric surgery is the only longstanding intervention when conservative therapy fails to succeed. However, bariatric surgery also has consequences. One of them is a decrease of dynamic muscle strength after the operation [28]. A possible explanation is the decrease of muscle mass after the operation. In the study of Stegen et al. [28], the untrained patients lost a total of 7.6 kg of muscle mass through bariatric surgery; that is 29.7% of the total body weight lost (-26.6 kg).
Reviews by Stiegler and Cunliffe [36] and Chaston et al. [37] confirmed the positive correlation between weight loss and fat-free mass loss (FFML). Very low caloric diets result in a greater FFML compared to moderate caloric diets. Bariatric surgery results in greater FFML than very low caloric diets. Webster et al. [38] found that the FFML should not exceed the 22% of the total weight loss because of the function in resting metabolic rate, thermoregulation, oxidative capacity of the body, and weight management. Exercise training can attenuate muscle atrophy and can maintain FFML during weight loss [36,37], but the value of a perioperative exercise program for bariatric surgery has not been investigated.
It can be debated whether or not decrease of muscle strength is a problem for morbidly obese patients after weight loss. It is well known that obese individuals have higher absolute muscle strength compared to lean subjects, but there is lower relative muscle strength in terms of total body weight [39,40,41,42]. This gives patients an impaired functional capacity, which is due to the fact that more strength is needed to handle a heavier body. Therefore, it might be important to prevent a decrease in muscle strength after bariatric surgery. However, when investigating muscle changes before and after bariatric surgery, several factors have to be taken into account. One of them is the type of bariatric surgery. Stegen and coworkers [28] included only patients who have undergone GB surgery. To our knowledge it is unknown whether there are differences in muscle loss between different types of bariatric surgery (e.g. GB surgery compared to sleeve gastrectomy). Moreover, the patient compliance must also be studied, i.e., whether or not patients followed the dietary instructions ((re)substitution of proteins, vitamins and minerals) [36,37,38]. None of these data were measured in the included studies.
It is known that obese patients have a reduced functional capacity and walking distance compared to lean subjects [43]. Tompkins and colleagues [44] showed that bariatric surgery leads to an improvement of approximately 75% in functional capacity and walking capacity 6 months after the operation. Weight loss (especially loss of body fat) makes walking less exhausting which could be demonstrated by a decreased rate of exertion and heart frequency at the end of the 6-min walking test [27,28]. Important predictors are not only the percentage of body fat but also the maximum of oxygen uptake (VO2 max) and the quadriceps muscle strength [43,45,46].
Exercise capacity can be measured by the anaerobic threshold, which reflects the true aerobic capacity and by the maximal oxygen uptake (VO2 peak). To interpret these parameters we have to keep in mind that there are differences between obese and lean subjects. Healthy obese subjects undergoing weight loss will experience a decrease in the maximal oxygen uptake and peak work output, because of a decrease of muscle mass [47] and an elevated cardiac stress (which is training for the heart). This cardiac stress will disappear over time [48].
In contrast, many obese patients suffer from obesity-related disorders, such as impaired cardiac function [49,50], inefficient ventilatory work [51], and a decreased fatty acid oxidation [29,52]. These disorders are associated with a reduced exercise capacity. During weight loss, both the cardiac and pulmonary systems will restore and may exceed the decrease in muscle mass. This delicate balance might result in the stabilization or even an improvement in maximal oxygen uptake.
Our study has several limitations that have to be taken into account. First, weight loss measured in the included studies was merely self-reported. Ideally, exercise programs and the effects of them must be monitored frequently (and objectively) by visiting a bariatric clinic. Second, because of the small sample sizes of the included studies and the heterogeneity in the reported exercise programs and outcomes, it is difficult to interpret and generalize the findings for the whole bariatric population.
It is well known that exercise programs (with or without bariatric surgery) lead to a decrease in anthropometric parameters, but there are even more beneficial effects of exercise. Future research should be focused on a comparison of different exercise regimes (e.g., endurance and strength) in obese subjects. There is also an increasing need for randomized controlled trials that focus on the effect of peribariatric exercise programs on weight regain after bariatric surgery, because this is still an ongoing problem. Studies by Bond et al. [53] and Li et al. [54] investigate whether or not a preoperative exercise program has effects on the postoperative outcome. The definitive results of those studies are not published yet. Also the long-term effects of exercise programs on QoL, depressive and anxiety symptoms, and eating behavior are not well understood.
Conclusion
In the majority of reports on exercising in a (future) bariatric population, a positive effect on anthropometrics, cardiovascular risk factors, and physical fitness was described. However, the results were not unanimous, with a wide range of exercise programs and perioperative timing, therefore hampering adequate practical guidance. Summarizing our findings, a beneficial exercise program lasts for a median of 12 weeks, had an intensity of median 65% peak heart rate / VO2 max, and is at least partially supervised.
Financial Support
None
Disclosure Statement
The authors declare that there is no conflict of interests regarding the publication of this article.
![Methodological quality of included studies using the PEDro score [10]](https://karger.silverchair-cdn.com/karger/content_public/journal/ofa/8/2/10.1159_000381201/2/m_000381201_t01.gif?Expires=1712998094&Signature=t3924fkQnyAMovR4zYEWU~XmG2FFgo1Pvr7C5HK3qJnUF354SXHvAY-Ki-qgzanV-sr0s265jkCefJ-91-RTi1kSW84wqWtKEKWuHEfiED4tp2-al1Q-oTy0iyP9p2KLcxkZRMpaOdkabLWbQcoSm74Mc1eXCaKjbwJbQrBKFnYXFFuQjXOV2JTrorw5BzwwPsnU1jGK7j8mwUIWH4ZMmfuURl984~aioh~-txx8s1CGekUw8o9I-QYipeBfYne02ptK~gEjjOo-QHWDYlflNpw6wVP9sDQM48f1CLvA4bxkdOpLbsu44FDAR9eJhnkXawvUs26mhkozT~2BG3gDVA__&Key-Pair-Id=APKAIE5G5CRDK6RD3PGA)




