Abstract
Leptin signaling pathways, stemming primarily from the hypothalamus, are necessary for maintaining normal energy homeostasis and body weight. In both rodents and humans, dysregulation of leptin signaling leads to morbid obesity and diabetes. Since leptin resistance is considered a primary factor underlying obesity, understanding the regulation of leptin signaling could lead to therapeutic tools and provide insights into the causality of obesity. While leptin actions in some hypothalamic regions such as the arcuate nuclei have been characterized, less is known about leptin activity in the hypothalamic ventromedial nuclei (VMN). Recently, pituitary adenylate cyclase-activating polypeptide (PACAP) has been shown to reduce feeding behavior and alter metabolism when administered into the VMN in a pattern similar to that of leptin. In the current study, we examined whether leptin and PACAP actions in the VMN share overlapping pathways in the regulation of energy balance. Interestingly, PACAP administration into the VMN increased STAT3 phosphorylation and SOCS3 mRNA expression, both of which are hallmarks of leptin receptor activation. In addition, BDNF mRNA expression in the VMN was increased by both leptin and PACAP administration. Moreover, antagonizing PACAP receptors fully reversed the behavioral and cellular effects of leptin injections into the VMN. Electrophysiological studies further illustrated that leptin-induced effects on VMN neurons were blocked by antagonizing PACAP receptors. We conclude that leptin dependency on PACAP signaling in the VMN suggests a potential common signaling cascade, allowing a tonically and systemically secreted neuropeptide to be more precisely regulated by central neuropeptides.
Introduction
With nearly 40% of Americans suffering from excessive weight gain coupled with comorbidities, there is an urgent need to address the growing national obesity epidemic [1]. Since its clinical potential was established over 20 years ago, leptin has been explored as a possible target for therapeutic solutions addressing obesity but with limited success. Released peripherally from adipose cells, leptin is a peptide hormone that acts both peripherally and centrally to suppress feeding behavior and increase metabolism to manage long-term energy stores [2-4]. As leptin production and release increases in overweight individuals, [5, 6] the chronically elevated circulating leptin levels result in peripheral and central leptin resistance [7], leading to diminished metabolism, increased feeding behavior, and ultimately obesity [8]. Signaling endpoints implicated in leptin resistance include trafficking of cell surface leptin receptors and the up- or downregulation of positive and negative regulators of the leptin signaling cascade. Therefore, detailing the mechanisms modulating central leptin signaling and the leptin insensitivity that leads to excess weight gain is an important step towards identifying effective therapeutics to treat obesity.
However, revealing the biological basis of leptin resistance has been limited by the extent to which we fully understand leptin signaling mechanisms. Currently, the canonical signaling cascade has been repeatedly confirmed in which leptin binding activates the Janus kinase-2 (JAK2) tyrosine kinase, promoting tyrosine phosphorylation of the leptin receptor at several sites including Tyr1138. Phosphorylation of the leptin receptor recruits transcription factors of the signal transducer and activator of transcription family such as STAT3 and promotes their binding, phosphorylation, and transcription activation [9, 10]. Moreover, the hypothalamus has been implicated as a primary target of leptin signaling [11, 12], especially in hypothalamic subgroups such as the arcuate, dorsomedial, and ventromedial nuclei (VMN) [13-15]. While the nature of leptin signaling in the arcuate is better characterized [16-19], less is known about the precise mechanisms leptin uses in the VMN. Leptin receptors in the VMN are not only expressed in neurons expressing the nuclear receptor steroidogenic factor 1 (SF-1) but that knocking down leptin receptors in SF-1 neurons produces an obese phenotype in rodents [14, 20, 21]. Interestingly, SF-1 neurons also express receptors for the neuropeptide pituitary adenylate cyclase-activating polypeptide (PACAP) [21], which invites the possibility for leptin and PACAP receptor interactions. Administration of the PACAP type 1 receptor (PAC1R) antagonist, PACAP6–38, into the third ventricle of mice attenuates leptin-induced suppression of food intake, body weight, and changes in thermogenesis [21], further suggesting that leptin and PACAP functionally interact. PACAP microinjections into the VMN induce hypophagia, body weight reduction, and changes in core body temperature [22-24], in a manner nearly identical to that of leptin. The current findings demonstrate that administration of PACAP6–38 just prior to leptin in the VMN inhibits leptin-induced behavior and cell signaling, indicating that leptin is dependent on PAC1R activation in the VMN.
Given the similarity in the cellular and behavioral actions of leptin, PACAP, and other peptide transmitters such as melanocortins [25, 26] and brain-derived neurotrophic factor (BDNF) [27, 28], there is an obvious need to take a more integrative perspective to determine whether there is a common signaling cascade that is accessed by multiple peptide transmitters. This would broaden our understanding of the network that interfaces with leptin and promote opportunities to develop therapeutic approaches to reverse leptin insensitivity.
Materials and Methods
Animals and Experimental Design
Male Sprague-Dawley rats (Envigo, Madison, WI, USA) weighing 275–300 g were housed individually in either standard tub cages or BioDAQ feeding cages (Research Diets, New Brunswick, NJ, USA) and acclimated for 1 week to a climate-controlled colony room under a 12:12 light-dark cycle. Animals were ad lib-fed standard chow (Teklad rodent diet #8604; 32% protein, 54% carbohydrate, 14% fat; 3.0 kcal/g; Madison, WI, USA) and body weights were measured daily. Following the acclimation period, all animals were stereotactically implanted with a double-guide cannula targeting the hypothalamic VMN and then allowed approximately a week to recover. Afterwards, animals were assigned to one of the following microinjection treatment groups: vehicle, leptin, PACAP6–38, or leptin + PACAP6–38. A subset of studies also included PACAP and PACAP + PACAP6–38 groups. All animal procedures were approved by Marquette University Institutional Animal Care and Use Committee.
Surgery and Microinjections
Cannulation Surgery
Animals were anesthetized with a ketamine/xylazine/acepromazine (77:1.5:1.5 mg/mL/kg; i.p.) cocktail and placed in a stereotaxic apparatus. Then 26-gauge bilateral guide cannulae (Plastics One, Roanoke, VA, USA) were placed 3 mm dorsal to the VMN of the hypothalamus and secured to the surface of the skull with acrylic resin. Stereotaxic coordinates for VMN injections were (1) anterior/posterior, –2.5 mm from the bregma; (2) medial/lateral, ±0.6 mm from the midline; and (3) dorsal/ventral, –6.2 mm from the surface of the skull based on The Rat Brain in Stereotaxic Coordinates [29]. Following the conclusion of each study, animals were sacrificed and brains collected by rapid decapitation, then sectioned and Nissl stained to determine cannula placement. Only those with correct placements were included in the studies.
Telemetry Probe
Prior to VMN cannulation, some animals (n = 15) were implanted intraperitoneally with a telemetry probe (Mini-Mitter, Sunriver, OR, USA). Animals were allowed 1 week to recover from surgery before baseline body temperatures were monitored for 1 week prior to VMN microinjections.
Microinjections
PACAP (50 pmol/0.25 µL per side; California Peptide Research, Napa, CA, USA), PACAP6–38 (500 pmol/0.25 µL per side; Anaspec, Fremont, CA, USA), leptin (0.025 µg/0.25 µL per side; R&D Systems, Minneapolis, MN, USA), or vehicle (saline) were microinjected into the VMN over a 2-min period in gently restrained awake animals. Groups included vehicle (n = 4–11), leptin (n = 6–10), PACAP (n = 4–10), PACAP6–38 + PACAP (n = 4–10), or PACAP6–38 + leptin (n = 6–12) at the onset of the dark cycle. All compounds were dissolved in saline. After injection, an additional minute was allotted before removing injectors to prevent backflow.
In situ Hybridization
Rat brains were sectioned coronally at 12 μm and then post-fixed in 4% paraformaldehyde, rinsed in 0.1 M PBS (pH 7.4), equilibrated in 0.1 M triethanolamine (pH 8.0), and acetylated in triethanolamine containing 0.25% acetic anhydride. Standard in vitro transcription methods were used to generate both sense and antisense riboprobes recognizing PAC1R, PACAP, long form of the leptin receptor (LepRb), and BDNF transcripts (Choi, Milwaukee, WI), which were subsequently diluted in hybridization cocktail (Amresco, Solon, OH, USA) with tRNA. Sections were hybridized overnight at 60°C with either digoxigenin (DIG) or fluorescein (FITC)-labeled riboprobes. After hybridization, slides were treated with RNase A and stringently washed in 0.3× SSC at 65°C (all riboprobes) for 30 min. Slides were incubated with an antibody against DIG or FITC conjugated to horseradish peroxidase (HRP; Roche) overnight at 4°C. The riboprobe signal was amplified using the TSA-Plus fluorophore system with either fluorescein or Cy3 (PerkinElmer; Waltham, MA, USA). Image capture was performed using fluorescent microscopy at 10× and magnified 20× (Axioskop 2; Zeiss, Thornwood, NY, USA) with Axiovision image analysis software (Zeiss) or 60X (Nikon-confocal; Nyquist sampling) with Nikon NIS Elements software (Nikon, Melville, NY, USA). ImageJ [30] was used to subtract the background with a rolling ball radius of 300 pixels and adjusted for optimal contrast equally across all nonconfocal images.
Quantitative Polymerase Chain Reaction
Tissue punches for both mRNA and protein analysis were collected following rapid desanguination. The ventral hypothalamus was demarcated in a stainless steel brain matrix and divided into five 1-mm divisions. The 1-mm slice containing the VMN was isolated and briefly placed on dry ice in order to bilaterally punch the VMN using a 2-mm tissue puncher. Care was taken to avoid nearby hypothalamic cell groups such as the arcuate nuclei. Dissected VMN tissue was frozen in liquid nitrogen and stored at –80°C. Total RNA was isolated from hypothalamic VMN punches by TRIzol extraction (Invitrogen-ThermoFisher). cDNA was constructed using the Reverse Transcription System (Promega, Madison, WI, USA). Quantitative polymerase chain reaction (PCR) was performed using a StepOne Real-Time PCR System (Applied Biosystems-ThermoFisher), and PerfeCTa SYBR Green FastMix with ROX (QuantaBio, Beverly, MA, USA). Quantification of mRNA expression was normalized to glyceraldehyde-3-phosphate dehydrogenase (GAPDH). The following primers were used: GAPDH: 5′-CTCCCATTCTTCCACCTTTGA-3′ and 5′-ATGTAGGCCATGAGGTCCAC-3′, SOCS3: 5′ CCC CGCTTTGACTGTGTACT 3′ and 5′ AAAGGAAGGTTCCGTCGGTG 3′, BDNF: 5′ AAAACCATAAGGACG CGGACTT 3′ and 5′ AAAGAGCAG-AGGAGGCTCCAA 3′.
Western Blotting
VMN tissue (see above) was collected 30 min after microinjections and flash frozen in liquid nitrogen and then homogenized by hand (10 strokes) in ice-cold homogenization buffer (300 mM sucrose, 10 mM Tris-HCl, pH 7.4, 10 mM EDTA, 10 mM EGTA) containing Halt protease and phosphatase inhibitor cocktail (Pierce; Rockford, IL, USA), followed by sonication for 3–4 s. Homogenates were centrifuged at 1,000 g for 10 min at 4°C to obtain the nuclear fractionation. Protein levels were measured using a bicinchoninic (BCA) assay (Pierce). Nuclear protein (25 μg) was run on an 8% gel by SDS-PAGE and transferred to a polyvinylidene fluoride (PVDF) membrane. Membranes were blocked in odyssey blocking buffer (PBS; LI-COR Biosciences, Lincoln, NE, USA) with 0.1% Tween-20 and then probed with rabbit anti-phospho-STAT3 (Tyr705) antibody (Cell Signaling; Beverly, MA, USA) overnight at 4°C, and then with an IRDye 680 CW goat anti-rabbit secondary antibody (LI-COR Biosciences) at room temperature for 1 h. Band intensities for Tyr705 were visualized using the Odyssey Fc Dual Mode Imaging System. Blots were stripped and reprobed for total endogenous STAT3 expression using mouse anti-STAT3 (124H6) (Cell Signaling) and IRDye 800CW donkey anti-mouse (LI-COR Biosciences) antibodies.
Slice Electrophysiology
Coronal slices (250 µm) containing the VMN of the hypothalamus were obtained from adult male rats and prepared using a vibratome (Leica VT1000S). Slices were prepared in ice-cold solution containing 229 mM sucrose, 1.9 mM KCl, 1.2 mM NaH2PO4, 33 mM NaHCO3, 10 mM glucose, 0.4 mM ascorbic acid, 6 mM MgCl2, and 0.5 mM CaCl2 oxygenated using 95% O2 5% CO2. Slices were then incubated at 31°C for 10 min in a solution containing 119 mM NaCl, 2.5 mM KCl, 1 mM NaH2PO4, 26.2 mM NaHCO3, 11 mM glucose, 0.4 mM ascorbic acid, 4 mM MgCl2, and 1 mM CaCl2and further incubated for a minimum of 35 min at room temperature. Whole-cell recordings were performed in slices continuously perfused with aerated ACSF (125 mM NaCl, 2.5 mM KCl, 25 mM NaHCO3, 10 mM glucose, 0.4 mM ascorbic acid, 1.3 mM MgCl2, and 2 mM CaCl2) at a temperature of 29–33°C using a gravity-fed perfusion system with a flow rate of ∼2 mL/min oxygenated. Borosilicate (2.5–4.5 MΩ) glass pipettes were filled with 140 mM K-gluconate, 5.0 mM HEPES, 1.1 mM EGTA, 2.0 mM MgCl2, 2.0 mM Na2-ATP, 0.3 mM Na-GTP, and 5.0 mM phosphocreatine (pH 7.3, 290 mOsm). Action potential (AP) firing was filtered at 1 kHz, sampled at 5 kHz, and measured using a Sutter Integrated Patch Amplifier (IPA) with Igor Pro (Wave Metrics, Inc.) data acquisition software. Current-clamp recordings were performed in spontaneously firing neurons in the VMN with adequate whole-cell access (Ra <20 MΩ) and capacitance verified at the beginning of recording. Picrotoxin (100 µM) and NBQX (10 µM) were added to the recording ACSF to better isolate the postsynaptic effects of PACAP and leptin. Following completion of 2–5 min baseline with <20% variation in spike firing, either PACAP (100 nM), leptin (100 nM), or PACAP6–38 (100 nM) was added to the recording solution. For recordings measuring spike firing after application of PACAP6–38, leptin or PACAP were subsequently added to the following acquisition of a stable (<20% variation) baseline in the presence of PACAP6–38.
Statistical Analysis
Data are presented as means ± standard errors of the mean and were analyzed statistically (Sigma Plot 11; Systat Software Inc., San Jose, CA, USA) by analysis of variance (with repeated measures when appropriate) or Student’s t test. Fischer LSD, Tukey’s HSD, and Cohen’s d analyses were used when appropriate for post hoc group comparisons. p values less than 0.05 were considered statistically significant. Electrophysiology data are presented in figure legends with n = number of cells and N = number of rats per group.
Results
Antagonizing VMN-PAC1R Blocks Leptin-Induced Changes in Energy Expenditure
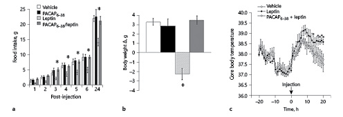
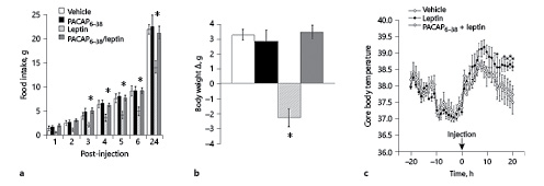
Feeding behavior in VMN-cannulated animals receiving a microinjection of vehicle, leptin, PACAP6–38, or PACAP6–38 + leptin at the onset of the dark cycle showed significant changes in food intake (Fig. 1a). Repeated-measures two-way ANOVA revealed significant main effects of treatment (F(3, 293) = 11.319, p = 0.001) and treatment × time interaction (F(18, 293) = 3.555, p = 0.001). Animals injected with leptin into the VMN consumed significantly less standard chow compared to vehicle-injected animals (vehicle vs. leptin, p = 0.001) at 3 h post-injection. Interestingly, VMN microinjections of PACAP6–38 prior to leptin administration blocked behavioral responses to the leptin and produced nearly identical feeding behavior to controls (vehicle vs. PACAP6–38 + leptin, p = 0.792). Administering PACAP6–38 alone in the VMN produced no significant effect on feeding behavior (vehicle vs. PACAP6–38, p = 0.708) or body weight (vehicle vs. PACAP6–38 + leptin, p = 0.792). Post-microinjection analysis of 24-h body weight change using a two-way ANOVA showed a significant interaction of leptin and PACAP6–38 (Fig. 1b; F(1, 41) = 28.952, p < 0.001). Leptin-injected animals lost a significant amount of weight compared to controls, whereas pretreatment with PACAP6–38 prior to leptin administration prevented leptin-induced weight loss.
In the VMN, antagonizing PAC1 receptors blocks leptin-induced hypophagia, weight loss, and thermogenesis. a Bilateral VMN-leptin (0.025 µg/0.25 µL/side) significantly suppressed feeding behavior, which was blocked by pretreatment with PACAP6–38 (500 pmol/0.25 µL/side). b A similar pattern of data was observed in body weight change 24 h post-microinjection. c Leptin bilaterally microinjected into the VMN significantly stimulated thermogenesis for up to 20 h compared to vehicle and PACAP6–38-pretreated animals. Data are presented as mean ± SEM. * p < 0.05.
In the VMN, antagonizing PAC1 receptors blocks leptin-induced hypophagia, weight loss, and thermogenesis. a Bilateral VMN-leptin (0.025 µg/0.25 µL/side) significantly suppressed feeding behavior, which was blocked by pretreatment with PACAP6–38 (500 pmol/0.25 µL/side). b A similar pattern of data was observed in body weight change 24 h post-microinjection. c Leptin bilaterally microinjected into the VMN significantly stimulated thermogenesis for up to 20 h compared to vehicle and PACAP6–38-pretreated animals. Data are presented as mean ± SEM. * p < 0.05.
Using a two-way repeated measures ANOVA, we found that leptin produced a significant effect of treatment over time (F(38, 279) = 1.572, p = 0.025) on core body temperature compared to vehicle or PACAP6–38-pretreated animals (Fig. 1c). Post hoc analysis revealed animals injected with leptin alone displayed a significant increase in core body temperature that remained elevated 20 h post-injection compared to controls (vehicle vs. leptin, p = 0.002). Interestingly, antagonizing PAC1R with PACAP6–38 prevented leptin-induced increases in core body temperature and were nearly identical to vehicle-injected animals (PACAP6–38 + leptin vs. leptin, p = 0.385). The same results were reported previously, demonstrating that PACAP administration not only significantly elevated core body temperature in the VMN but pretreatment with PACAP6–38 completely reversed PACAP-induced core body temperature changes [24]. Differences in body temperatures subsided by 30 h post-injection. Overall, leptin-induced increases in core body temperature and decreases in feeding behavior and body weight were fully reversed after pretreating with a PACAP receptor antagonist.
Co-Expression Patterns of PAC1R, PACAP, BDNF, and the Leptin Receptor mRNA in the VMN
Figure 2 shows double fluorescent in situ hybridization targeting mRNA transcripts for PACAP and PAC1R are co-localized together in the VMN. PACAP mRNA is also co-localized with BDNF mRNA expression. In addition, PAC1R mRNA in the VMN co-expresses with BDNF and the leptin receptor (LepRb).
Fluorescent photomicrographs of mRNA expression in the VMN (bregma = 2.5–2.7 mm) for PACAP, BDNF, PAC1R, and LepRb (top row) at 10× magnification. Second row: 10× images illustrate co-expression of PACAP/PAC1R, PACAP/BDNF, PAC1R/BDNF, and PAC1R/LepRb in cells of the VMN. Label colors correlate with similarly colored fluorophores. Third row: higher magnification images of PACAP/PAC1R, PACAP/BDNF (20×), PAC1R/BDNF, and PAC1R/LepRb (60×). The 60× images show co-expression PAC1R, BDNF, and LepRb in DAPI-delineated cells. Arrows identify examples of DAPI-labeled cells showing co-expression.
Fluorescent photomicrographs of mRNA expression in the VMN (bregma = 2.5–2.7 mm) for PACAP, BDNF, PAC1R, and LepRb (top row) at 10× magnification. Second row: 10× images illustrate co-expression of PACAP/PAC1R, PACAP/BDNF, PAC1R/BDNF, and PAC1R/LepRb in cells of the VMN. Label colors correlate with similarly colored fluorophores. Third row: higher magnification images of PACAP/PAC1R, PACAP/BDNF (20×), PAC1R/BDNF, and PAC1R/LepRb (60×). The 60× images show co-expression PAC1R, BDNF, and LepRb in DAPI-delineated cells. Arrows identify examples of DAPI-labeled cells showing co-expression.
PACAP-Leptin Molecular Interactions in the VMN
Previous studies have demonstrated that activation of the leptin receptor drives the JAK2-STAT3 intracellular signaling cascade by increasing the immunoreactivity of phosphorylated STAT3 in the VMN [9]. PACAP administered into the VMN similarly induced phosphorylation of STAT3 specifically through the PAC1R since pretreatment with the PAC1R antagonist blocked STAT3 phosphorylation (Fig. 3; treatment F(2, 9) = 7.733, p = 0.011; Tukey’s HSD: vehicle vs. PACAP p = 0.029; PACAP6–38 + PACAP vs. PACAP p = 0.014; vehicle vs. PACAP6–38 + PACAP p = 0.884). Given that the group sizes in this study were small, we conducted a Levene’s test for homogeneity of variance and this assumption was not violated (F = 3.6, p > 0.05). Even so, out of an abundance of caution, we also conducted a nonparametric Kruskal-Wallis test and the results are consistent with the original analysis (H(2) = 7.42, p = 0.0245). The robust effect, despite the small number of animals, is likely due to the very large effect size in relation to the overall variance as is revealed by the large Cohen’s d values (vehicle vs. PACAP: Cohen’s d = 1.68; PACAP vs. PACAP6–38 + PACAP: Cohen’s d = 2.61).
PACAP mimics molecular actions of leptin in the VMN. Western blot image (a) and its graphical representation (b) from VMN punches 30 min post-PACAP treatment (50 pmol/0.25 µL/side) show significant PACAP-induced stimulation of phosphorylated STAT3 (pSTAT3) compared to vehicle. Pretreatment with PACAP6–38 (500 pmol/0.25 µL/side) reversed PACAP-induced STAT3 phosphorylation. In VMN punches, BDNF (c) and SOCS3 mRNA (d) were elevated following microinjection of PACAP or leptin. These increases were blocked with pretreatment with PACAP6–38. RQ, relative quantification. Data are presented as mean ± SEM. * p < 0.05.
PACAP mimics molecular actions of leptin in the VMN. Western blot image (a) and its graphical representation (b) from VMN punches 30 min post-PACAP treatment (50 pmol/0.25 µL/side) show significant PACAP-induced stimulation of phosphorylated STAT3 (pSTAT3) compared to vehicle. Pretreatment with PACAP6–38 (500 pmol/0.25 µL/side) reversed PACAP-induced STAT3 phosphorylation. In VMN punches, BDNF (c) and SOCS3 mRNA (d) were elevated following microinjection of PACAP or leptin. These increases were blocked with pretreatment with PACAP6–38. RQ, relative quantification. Data are presented as mean ± SEM. * p < 0.05.
Both leptin and PACAP microinjected into the VMN increased mRNA levels of BDNF and suppressor of cytokine signaling-3 (SOCS3) to a similar degree (Fig. 3c, d, respectively). Moreover, both PACAP and leptin induced increases in BDNF and SOCS3 mRNA levels and both were equally blocked by antagonizing PAC1R. Leptin- and PACAP-induced increases in BDNF mRNA were similar in magnitude (F(5, 46) = 6.800, p < 0.001; vehicle vs. PACAP p < 0.001; vehicle vs. leptin p < 0.001) and were equally inhibited by PACAP6–38 (vehicle vs. PACAP6–38 + PACAP, p = 0.950; vehicle vs. PACAP6–38 + leptin, p = 0.405). Like BDNF, a one-way ANOVA of SOCS3 mRNA expression revealed a significant effect of treatment (F(5, 45) = 2.901, p = 0.025). PACAP or leptin microinjections into the VMN did not reach statistical significance for changes in SOCS3 mRNA, although there is a clear trend towards increased expression (vehicle vs. PACAP, p = 0.055; vehicle vs. leptin p = 0.103). However, PACAP and leptin SOCS3 mRNA levels were significantly higher than mRNA levels measured in animals treated with PACAP6–38 prior to leptin or PACAP administration (PACAP vs. PACAP6–38 + PACAP, p = 0.006; leptin vs. PACAP6–38 + leptin, p = 0.050). Thus, PACAP6–38 reversed the intracellular effects of both PACAP and leptin in VMN neurons.
PACAP Receptor Antagonism on PACAP and Leptin-Induced Changes in AP Frequency in VMN Cells
Similar to our previous reports [31], bath application of PACAP (100 nM) increased AP firing of neurons in the VMN (Fig. 4a; t(7) = –2.783, p = 0.027). Repeated measures ANOVA assessing within cell changes in AP frequency revealed no significant difference between firing frequency following application of PACAP6–38 alone compared to in the presence of PACAP6–38 + PACAP (Fig. 4b; F(4, 9) = 1.64, p = 0.27). Examination of percent change showed that PACAP produced a +70% increase in firing frequency compared to ACSF baseline frequency (n = 9), but a –6.96% reduction when applied in the presence of PACAP6–38 (Fig. 4c).
Ex vivo slice electrophysiology was used to determine the role of PAC1R signaling on action potential (AP) frequency in the VMN. n = number of cells and N = number of rats per group. a Application of 100 nM PACAP (blue) in slices increases AP firing of neurons in the VMN (n = 8, N = 5) compared to baseline firing in ACSF (black). Representative trace of VMN AP firing (right) during bath application of ACSF (top) and following bath application of PACAP (bottom). * p < 0.05, PACAP compared to ACSF. b Prior and concomitant application of PACAP6–38 (6–38, gray filled) blocked the effects on AP firing induced by PACAP (6–38/PACAP, blue filled) (n = 6, N = 3). Representative traces of AP firing in the presence of PACAP6–38 (ACSF + 6–38, top) and PACAP6–38 + PACAP (6–38 + PACAP, bottom). c Percent change of firing produced by PACAP in the presence of ACSF (data from a) and in the presence of PACAP6–38 (data from b). d Application of 100 nM leptin (red) did not alter overall AP firing compared to baseline ACSF (n = 11, N = 5). e Cells exhibiting a baseline AP frequency below the overall mean (low) showed a significant increase in firing (left), whereas VMN cells showing a baseline AP frequency above the mean (high) showed a trend towards reduced firing (right). Representative traces (right) from low and high cells in ACSF (top, black) and leptin (bottom, red). ** p < 0.01, leptin compared to ACSF. f Bath application of PACAP6–38 blocked the effects on AP firing induced by leptin (n = 6, N = 4). Representative traces of AP firing in PACAP6–38 + ACSF (top, gray filled) and PACAP6–38 + leptin (bottom, red filled). g Percent change of firing produced by leptin in the presence of ACSF (data from d) and in the presence of PACAP6–38 (data from f).
Ex vivo slice electrophysiology was used to determine the role of PAC1R signaling on action potential (AP) frequency in the VMN. n = number of cells and N = number of rats per group. a Application of 100 nM PACAP (blue) in slices increases AP firing of neurons in the VMN (n = 8, N = 5) compared to baseline firing in ACSF (black). Representative trace of VMN AP firing (right) during bath application of ACSF (top) and following bath application of PACAP (bottom). * p < 0.05, PACAP compared to ACSF. b Prior and concomitant application of PACAP6–38 (6–38, gray filled) blocked the effects on AP firing induced by PACAP (6–38/PACAP, blue filled) (n = 6, N = 3). Representative traces of AP firing in the presence of PACAP6–38 (ACSF + 6–38, top) and PACAP6–38 + PACAP (6–38 + PACAP, bottom). c Percent change of firing produced by PACAP in the presence of ACSF (data from a) and in the presence of PACAP6–38 (data from b). d Application of 100 nM leptin (red) did not alter overall AP firing compared to baseline ACSF (n = 11, N = 5). e Cells exhibiting a baseline AP frequency below the overall mean (low) showed a significant increase in firing (left), whereas VMN cells showing a baseline AP frequency above the mean (high) showed a trend towards reduced firing (right). Representative traces (right) from low and high cells in ACSF (top, black) and leptin (bottom, red). ** p < 0.01, leptin compared to ACSF. f Bath application of PACAP6–38 blocked the effects on AP firing induced by leptin (n = 6, N = 4). Representative traces of AP firing in PACAP6–38 + ACSF (top, gray filled) and PACAP6–38 + leptin (bottom, red filled). g Percent change of firing produced by leptin in the presence of ACSF (data from d) and in the presence of PACAP6–38 (data from f).
In contrast to PACAP, application of leptin (100 nM) did not alter the mean frequency of AP firing (Fig. 4d; t(10) = –0.86, p = 0.41). Subsequent examination of within-cell effects of leptin compared to baseline revealed that 7 of 11 cells exhibited an increase in firing frequency, while 4 showed a reduction in firing rate. This suggests that leptin may exert bimodal effects in certain cell populations in the VMN. To gain further insight into what might influence the response of individual cells to leptin, post hoc analysis was performed based on the mean basal firing frequency (in ACSF), with cells exhibiting a frequency above the mean and below the mean grouped together. Repeated measures ANOVA showed that cells exhibiting a baseline firing rate lower than the mean (low, n = 7) exhibited a significant increase in AP frequency in response to leptin (F(6, 13) = 8.43, p = 0.017), whereas cells with baseline firing rates higher than the mean (high, n = 4) showed a trend towards reduced firing (Fig. 4e; F(3, 7) = 2.08, p = 0.105). Repeated measures ANOVA revealed no significant difference between firing frequency following application of PACAP6–38 compared to PACAP6–38 + leptin (Fig. 4f; F(4, 9) = 1.64, p = 0.27). Examination of percent change in all cells, regardless of response, show that leptin produced a mean +45% increase in firing frequency, whereas mean percent change was –10.5% when leptin was applied in the presence of PACAP6–38 (Fig. 4g). Notably, low-frequency cells showed a mean +82% increase and high-frequency cells showed a mean –28% decrease in frequency compared to ACSF baseline. Notably, within-cell comparison of all cells receiving initial application of PACAP6–38 showed no significant impact on firing frequency compared to ACSF baseline (F(10, 21) = 3.63, p = 0.096; data not shown). Taken together, these data indicate that PACAPs excitatory effects on neuronal firing are blocked by PACAP6–38 and that PACAP6–38 blunts leptin’s ability to increase and decrease firing.
Discussion
A novel perspective towards understanding the central mechanisms underlying feeding is to consider whether there are common intracellular signaling cascades that are accessed by multiple hormones and neurotransmitters. This is evidenced by the numerous neurotransmitters and hormones that can produce hypophagia within specific hypothalamic regions, such as the VMN. Hence, an important question for understanding obesity is whether specific VMN neurons have a common molecular sequence that produces the activation pattern needed to produce hypophagia, and whether this pathway is stimulated and utilized by a variety of signals. If there is a molecular convergence onto a master signaling sequence, then the concept of leptin resistance can be broadened to include additional signaling molecules or hormones and could then be examined as a source for insensitivity or a potential therapeutic strategy to normalize activity. In our studies, PACAP acts in the VMN to produce hypophagia and metabolic changes similar to that of leptin. To the extent that PACAP and leptin display obligatory convergence on a shared signaling pathway, alterations to PACAP signaling could either present as leptin insensitivity or the solution to ameliorate leptin insensitivity.
Exogenous administration of PACAP and leptin in the hypothalamic VMN produce similar behavioral and cellular outcomes whereas, anatomically, receptor mRNA for both peptides are co-expressed in VMN cells as further evidence to suggest that PACAP and leptin signaling could intersect. Leptin’s canonical signaling pathway has been repeatedly shown in the hypothalamus to involve the JAK2-STAT3 cascade [9, 10]. Remarkably, PACAP administration into the VMN mimic canonical leptin activation markers including the phosphorylation of STAT3 and increased transcription of SOCS3 and BDNF mRNA, while also suppressing food intake, body weight, and increasing core body temperature. However, direct manipulation of PACAP and leptin signaling revealed that leptin’s behavioral and cellular actions can be reversed in rats pretreated with a PACAP receptor antagonist demonstrating that these two peptides functionally intersect [24]. Thus, the molecular, cellular, and behavioral data not only show the close relationship between PACAP and leptin functionality in the VMN, but that leptin-induced actions in the VMN require active PACAP signaling.
To further demonstrate leptin’s dependency on PACAP signaling in cells of the VMN, electrophysiological characterization demonstrated that VMN cells are responsive to both PACAP and leptin. In contrast to the behavioral and cellular/molecular responses, PACAP and leptin produced identical electrophysiological responses, but only in a subset of VMN neurons. Bath application of PACAP produced excitatory responses in VMN cells, which we have previously observed [22], and is similar to the excitatory actions of PACAP observed in other regions of the brain [32-34]. By contrast, leptin application produced both excitatory and inhibitory responses in the VMN. Similar bidirectional responses have been previously observed in neuronal subpopulations of other hypothalamic subgroups such as the arcuate nuclei [35], where leptin depolarized and increased firing rates of POMC/CART neurons, while hyperpolarizing and decreasing firing rates of AgRP/NPY neurons [18, 36]. Leptin has also been shown to depolarize and increase firing of VMN SF-1 cells [20, 35]. Notably, this effect was not observed in all cells; however, it was unclear whether cells not showing enhanced firing exhibited no response to leptin or a reduction in firing. Thus, we provide the first evidence that leptin can bidirectionally alter VMN neuron firing rates. The mechanisms underlying this bidirectionality remain unclear, but likely reflect distinctions in molecular (e.g., ion channels, receptors), intrinsic neurophysiology, synaptic innervation, and perhaps anatomical connectivity that endow specific subpopulations of specific SF-1 cells with unique properties to integrate and communicate information [37-39]. In support, VMN neurons exhibiting reduced firing showed a trend towards higher basal firing rates compared to those that increase firing; however, this was not true in all cells, suggesting that firing rates are not absolute predictors of responsivity. Regardless, important future studies will involve a more rigorous characterization of what defines these potential subpopulations.
Our study demonstrates that PAC1R mRNA expression overlaps with that of PACAP mRNA in the VMN and so a likely conclusion may be that SF-1 cells express the PACAP receptor, PAC1R. Consistent with this, we found that excitatory effects of PACAP on neuronal firing were blocked by prior and concomitant application of the PAC1R antagonist, PACAP6–38. Although cell-specific markers have not been fully characterized for leptin-sensitive VMN cells, we and others have shown that leptin can exert an excitatory effect on SF-1 cells [20], which have been shown to co-express PACAP mRNA [21]. Although no significant effects of leptin were observed overall, as well as in the presence of PACAP6–38, comparison of percent change shows that leptin increases firing by 45% when combining all cells, whereas in the presence of PACAP6–38, there is a –10% percent change, indicating an overall blunting of leptin effects. Further, because all cells showed a change in firing in response to leptin alone (+82% in high-frequency cells and –28% in low-frequency cells), antagonism of PAC1R appears to inhibit leptin effects regardless of response and suggests that divergent effects of leptin do not likely reflect the presence or absence of PAC1R. As leptin and PACAP receptors are not known to localize presynaptically, and there is little evidence of collateral communication between VMN neurons, observed effects of leptin and PACAP alone as well as antagonism of these effects with PACAP6–38 are likely due to postsynaptic activation of receptors on cells from which recording was being performed. Thus, despite the differential in vitro actions of PACAP and leptin, the electrophysiological studies still suggest there is an interaction between leptin and PACAP signaling.
Overall, our data demonstrate an obligatory convergence relationship between leptin and PACAP in the VMN. Leptin receptor is a type I cytokine receptor in the IL-6 receptor family [40] and following ligand binding activates the associated JAK2 tyrosine kinase. JAK2 activation promotes tyrosine phosphorylation of the leptin receptor, leading to the creation of docking sites for STAT factors, which ultimately leads to induction of gene expression [10, 41]. Known inhibitors of leptin signaling include SOCS3 binding to the Tyr985 residue of the leptin receptor [42] and dephosphorylation of JAK2 by protein tyrosine phosphatase [43]. While cytokine signaling pathways have been at the core of a number of human disorders, there is still a poor understanding of their mechanistic circuitry. Even though the regulation of leptin-induced STAT3 activation may be well understood, cytoplasmic STAT proteins have been shown to be modulated by other signals such as proteins, cytokines, and growth factors [44-46]. Such cross-talk may be physiologically important for STAT activity and normal homeostatic control. One possibility of this type of cross-talk may include PACAP-induced STAT3 phosphorylation subsequently leading to SOCS3 mRNA expression and ultimately the ability to regulate leptin actions through PACAP signaling. In fact, STAT3 phosphorylation has been shown to occur independently of the JAK2 pathway via Src family kinases [9]. The possibility for interaction grows as PACAP receptors are a class B GPCR known to use Src- and PKA-dependent signaling [47]. Src family kinases including Blk, Brk, Fgr, Frk, Fyn, Hck, Lck, Lyn, Src, Srm, and Yes are not only widely expressed in multiple tissues [48] but are the means by which PACAP has been shown to facilitate the activity of NMDA receptors in the hippocampus and hypothalamic VMN through Src-mediated phosphorylation [33, 49]. Although such evidence presents potential opportunities for PACAP modulation of leptin signaling, there has been no direct evidence yet of their interaction. Interestingly, leptin receptors have been shown to have allosteric interactions with GPCRs such as orexin/hypocretin and ghrelin receptors, suggesting a possibility that leptin and PACAP receptors could interact through similar receptor interactions [50].
Developing therapeutics to address the growing obesity epidemic requires a better understanding of the cellular mechanisms that underlie energy regulation. While leptin resistance is recognized as a significant contributor to obesity, revealing the mechanisms leading to leptin insensitivity has been limited. We show that leptin receptor actions in the VMN show functional dependency on PACAP signaling to regulate feeding behavior, metabolism, and gene transcription. This suggests that intersecting signaling cascades in VMN neurons for regulating energy homeostasis could allow tonic signals such as leptin to be potentially regulated by discretely released neuropeptides such as PACAP. Interconnecting pathways activated by multiple ligands could broaden our understanding of leptin resistance as well as allow for future therapeutic strategies. Further studies will be needed to reveal possible intersectional activity between PAC1 and leptin receptors that could permit differential behavioral and metabolic variability informed by concomitant indicators of energy resources.
Acknowledgement
We are grateful to Mr. Mogen M. Frenkel and Mr. Charles Lamberton for assisting with the experiments and Dr. Robert Twining for his assistance with the statistical analysis.
Statement of Ethics
Animal experiments conform to internationally accepted standards and have been approved by Marquette University’s IACUC committee.
Disclosure Statement
The authors have no conflicts of interest to declare.
Funding Sources
This work was supported by the US National Institute of Diabetes and Digestive and Kidney Diseases (NIDDK; DK074734).
Author Contributions
Dr. Matthew M. Hurley designed and performed experiments, analyzed data, and wrote and edited the manuscript. Dr. Eden M. Anderson designed and performed experiments, analyzed data, and contributed to the manuscript. Mr. Christopher Chen wrote the manuscript.
Mr. Brian Maunze, Mr. Evan M. Hess, Ms. Megan E. Block, Ms. Neerali Patel, Mr. Riley McCoy, Ms. Tanya Dabra, and Mr. Michael J. Reilly performed experiments.
Mr. Zane Cooper and Mr. William Conley performed experiments and analyzed data. Dr. Matthew Hearing designed experiments, analyzed data, wrote and edited the manuscript, and provided reagents and analytical tools. Dr. SuJean Choi designed and performed experiments, analyzed data, wrote and edited the manuscript, and provided financial support.



