Abstract
Background: Rifampicin was reported to inhibit amyloid-β oligomerization and tau hyperphosphorylation in mouse models and could serve as a promising available medicine for the prevention of Alzheimer disease (AD). To examine whether rifampicin has such preventive effects in humans, we retrospectively reviewed 18F-FDG-PET findings of elderly patients with mycobacterium infection treated with rifampicin. Methods: Forty nondemented elderly patients treated with rifampicin for mycobacterium infections who showed AD-type hypometabolism were enrolled. The hypometabolic patterns were evaluated with stereotaxic statistical analysis and region of interest analysis. Results: Before treatment, AD-type hypometa bolism was observed in 12 patients. The FDG uptake in the posterior cingulate cortex (PCC) was improved or stabilized in 6 patients after 12-month therapy (450 mg/day), whereas another 6 patients with 6-month therapy showed a decreased FDG uptake in the PCC. In patients who underwent FDG-PET only after treatment, the metabolic decline in the PCC was significantly milder in patients with ≥12 months of rifampicin treatment than in those with 6 months of treatment. Multiple regression analysis revealed that the dose of rifampicin and treatment duration significantly influenced FDG uptake in the PCC. Conclusion: The preventive effect of rifampicin depended on the dose and the treatment duration, and the effect needs at least 450 mg daily for 1 year.
Introduction
Alzheimer disease (AD) is the most common cause of neurodegenerative dementia and is becoming increasingly common as the global population ages [1]. Therefore, development of preventive therapy for the disease has been urgently needed. Although a lot of trials have been performed, their results have been unsuccessful [2, 3]. As both amyloid-β and tau were believed to play central roles in AD pathogenesis, they have been targets of disease-modifying therapy. Clinical studies of amyloid-β-targeting therapies in AD have revealed that the treatments after disease onset have little effect on the cognition of patients [4-7]. One presumable reason might be that the treatment of AD should have been started prior to the onset of clinical symptoms [5].
Recently, Umeda et al. [8] have reported that rifampicin, a well-known antibiotic, inhibited amyloid-β oligomerization and tau hyperphosphorylation in mouse models and improved the memory in the Morris water maze. The findings in mouse models indicated that rifampicin could serve as a promising available medicine for the prevention of AD. Thus, it has become of interest whether rifampicin has such preventive effects in human. As a very inexpensive medicine, rifampicin may make a strong weapon to AD in fast-aging societies, especially in developing countries.
Rifampicin has been routinely administered at our hospital to treat mycobacterium infections such as tuberculosis (TB) and mycobacterium avium complex (MAC) for many years. Therefore, we have accumulated data on patients treated with rifampicin, and almost half of the patients were elderly. In addition, a considerable number of the elderly patients have undergone 18F-FDG-PET including brain scan for various reasons since 2005 and we occasionally encountered AD-type findings. Accordingly, we retrospectively reviewed FDG-PET findings of elderly patients with mycobacterium infection that were treated with rifampicin and were not demented at the start of treatment to examine the preventive effects of rifampicin on the progression of AD.
Method
Patient Selection
From the FDG-PET database of Fukujuji hospital that has accumulated data on FDG-PET imaging and patient profiles from 2005 to 2016, 77 patients (Fig. 1) were selected according to the following criteria: (1) older than 65 years of age; (2) having mycobacterium infections (MAC or TB) treated with rifampicin; (3) Clinical Dementia Rating (CDR) less than 1; (4) having received FDG-PET twice or more; (5) Hachinski ischemia score less than 4; (6) absence of organic brain pathology or neurodegenerative disease other than cognitive impairment; (7) absence of depression; and (8) absence of respiratory failure.
Flow diagram. In Group A, we examined how the AD-type hypometabolism changes by administration of rifampicin. In Group B, we investigated how the Alzheimer disease (AD)-type hypometabolism emerges after therapy and the finding changes during long-term follow-up. CDR, Clinical Dementia Rating.
Flow diagram. In Group A, we examined how the AD-type hypometabolism changes by administration of rifampicin. In Group B, we investigated how the Alzheimer disease (AD)-type hypometabolism emerges after therapy and the finding changes during long-term follow-up. CDR, Clinical Dementia Rating.
Among the 77 patients, 26 patients were assessed by FDG-PET both before and after therapy. Furthermore, 12 of the 26 patients showed AD-type hypometabolism before therapy and were allocated to Group A (age, 78.8 ± 3.7 years) (Table 1). In Group A, we examined how the AD-type hypometabolism changes by administration of rifampicin. The other 51 patients underwent FDG-PET only after therapy. Twenty-eight of them developed AD-type hypometabolic findings during follow-up and were allocated to Group B (age, 78.1 ± 2.9 years). The CDR score of all patients in Group B was 0 before treatment. In Group B, we investigated how the AD-type hypometabolism emerges after therapy and how the finding changes during long-term follow-up.
We evaluated cognitive function with the Mini-Mental State Examination (MMSE). Diagnosis of probable AD was performed according to the diagnostic criteria of the National Institute of Neurological and Communicative Disorders and Strokes-Alzheimer’s Disease and Related Disorders Association (NINCDS-ADRDA) as well as the Diagnostic and Statistical Manual of Mental Disorders-IV-Text Revision (DSM-IV-TR). All procedures followed the clinical study guidelines of Fukujuji hospital and were approved by the hospital’s Ethics Review Board. Informed consent was obtained from all patients or their families for the patients to participate in the present study.
18F-FDG-PET
Patients fasted for at least 6 h before assessment by FDG-PET using a Biograph Duo PET/CT instrument (Siemens), and blood sugar levels were measured to ensure the absence of hyperglycemia (>150 mg/dL). A standard dose of 185 MBq of 18F-FDG was intravenously injected 45–50 min before image acquisition. Each image comprised a computed tomography (CT) transmission scan of the head (50 mAs for 16 s) followed by a three-dimensional (3D) static emission of 15 min acquisition with the resolution of the PET system at 5 mm full-width half-maximum (FWHM). The PET sections were reconstructed using an iterative ordered-subset expectation maximization (OSEM) algorithm (4 iterations and 16 subsets), corrected for scatter and attenuation using density coefficients derived from a low-dose CT scan of the head acquired with the same scanner. The hypometabolic findings were evaluated using 3D stereotactic surface projection and region of interest analysis. Decreased FDG uptake in the posterior cingulate cortex (PCC) and parietal association cortex was considered as hypometabolic, which typically indicates AD. As the metabolic reduction in the PCC is a very early feature of AD [9] and both FDG uptake and regional cerebral blood flow in the PCC are associated with the MMSE score [9, 10], we employed FDG uptake in the PCC as an indicator of disease progression. The mean value of FDG uptake in the PCC was divided by that in the cerebellum to generate the standardized uptake value ratio (SUVR) in the PCC. The SUVR in the PCC was evaluated bilaterally, and then the more decreased side was applied for analysis. The FDG-PET protocol at our facility has been described elsewhere [11].
Statistical Analysis
The correlation between MMSE scores and SUVR in the PCC in all patients was analyzed using Pearson’s product-moment correlation coefficient. To evaluate metabolic and cognitive change before and after rifampicin treatment in Group A, we performed repeated-measures analysis of covariance (ANCOVA). The covariate was the interval between 2 FDG-PET acquisitions. In Group B, we employed repeated-measures ANCOVA again to assess the metabolic and cognitive decline between patients treated for ≥12 months and those treated for 6 months. In the analysis, the covariate was the interval between 2 FDG-PET acquisitions. The data in Group B were assessed by using multiple regression analysis with forward-backward stepwise selection. In the analysis, age, sex, education, dose of rifampicin, treatment duration, SUVR in the PCC at the first FDG-PET, and the interval between 2 FDG-PET acquisitions were applied for variables. Statistical tests were two-sided, and all statistical analyses were con ducted using SAS (SAS Institute, Cary, NC, USA).
Results
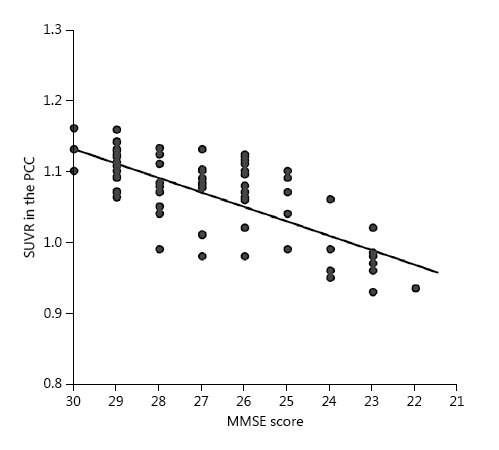
The correlations between metabolic decline in the PCC and cognitive decline determined from MMSE scores in rifampicin-treated patients are shown in Figure 2. The correlation was significant (p < 0.001). After 12 months of therapy with 450 mg/day of rifampicin, both MMSE and SUVR in the PCC were not significantly changed in Group A (Table 1). The patients with 12 months of treatment included 2 patients with improved FDG findings and 4 patients with stabilized FDG findings (Fig. 3). Among patients in Group A, both MMSE and SUVR in the PCC were decreased in 6 patients who received 450 mg/day of rifampicin for 6 months. Repeated-measures ANCOVA revealed a significant difference in metabolic changes between therapy for 6 and 12 months (p < 0.05; Table 2; Fig. 4). The interval between 2 FDG-PET acquisitions was used as a covariate. Our findings indicated that 12 months of rifampicin therapy might be effective during the pre-dementia stage.
Association between Mini-Mental State Examination (MMSE) scores and standardized uptake value ratios (SUVR) in the posterior cingulate cortex (PCC) of rifampicin-treated patients. In rifampicin-treated patients, MMSE scores and SUVR in the PCC at the first and second FDG-PET in Groups A and B were used. Pearson’s correlation coefficient of rifampicin-treated patients was 0.680 (p < 0.001).
Association between Mini-Mental State Examination (MMSE) scores and standardized uptake value ratios (SUVR) in the posterior cingulate cortex (PCC) of rifampicin-treated patients. In rifampicin-treated patients, MMSE scores and SUVR in the PCC at the first and second FDG-PET in Groups A and B were used. Pearson’s correlation coefficient of rifampicin-treated patients was 0.680 (p < 0.001).
The 3D stereotactic surface projection images of hypometabolism before and after therapy in 3 patients in Group A. a The patient was male and 77 years of age at the time of the first FDG-PET examination. He did not have amnesia (Clinical Dementia Rating [CDR]: 0; Mini-Mental State Examination [MMSE] score: 29). After diagnosis of mycobacterium avium complex (MAC), 450 mg/day of rifampicin was administrated for 12 months. The second FDG-PET was performed 24 months after the first FDG. An increase of FDG uptake was observed in the posterior cingulate cortex (PCC) and the parietal association cortex. The CDR and MMSE score of the patient did not change. b The patient was female and 74 years of age at the time of the first FDG-PET examination. She was slightly amnestic but had no problems in daily life (CDR: 0.5; MMSE score: 26). After diagnosis of MAC, she completed 12 months of therapy with 450 mg daily of rifampicin. The second FDG-PET was performed 24 months after the first FDG. An increase of FDG uptake was clearly observed in the PCC and slightly in the parietal association cortex. The CDR of the patient remained 0.5, but the MMSE score increased to 28. c The patient was male and 85 years of age at the time of the first FDG-PET examination. He was slightly amnestic but had no problems in daily life (CDR: 0.5; MMSE score: 25). After diagnosis of MAC, he completed 12 months of rifampicin therapy. The second FDG-PET was performed 36 months after the first FDG. FDG uptake was not changed obviously. The CDR and MMSE score of the patient did not change.
The 3D stereotactic surface projection images of hypometabolism before and after therapy in 3 patients in Group A. a The patient was male and 77 years of age at the time of the first FDG-PET examination. He did not have amnesia (Clinical Dementia Rating [CDR]: 0; Mini-Mental State Examination [MMSE] score: 29). After diagnosis of mycobacterium avium complex (MAC), 450 mg/day of rifampicin was administrated for 12 months. The second FDG-PET was performed 24 months after the first FDG. An increase of FDG uptake was observed in the posterior cingulate cortex (PCC) and the parietal association cortex. The CDR and MMSE score of the patient did not change. b The patient was female and 74 years of age at the time of the first FDG-PET examination. She was slightly amnestic but had no problems in daily life (CDR: 0.5; MMSE score: 26). After diagnosis of MAC, she completed 12 months of therapy with 450 mg daily of rifampicin. The second FDG-PET was performed 24 months after the first FDG. An increase of FDG uptake was clearly observed in the PCC and slightly in the parietal association cortex. The CDR of the patient remained 0.5, but the MMSE score increased to 28. c The patient was male and 85 years of age at the time of the first FDG-PET examination. He was slightly amnestic but had no problems in daily life (CDR: 0.5; MMSE score: 25). After diagnosis of MAC, he completed 12 months of rifampicin therapy. The second FDG-PET was performed 36 months after the first FDG. FDG uptake was not changed obviously. The CDR and MMSE score of the patient did not change.
Metabolic changes in each patient in Group A. The graph shows standardized uptake value ratios (SUVR) in the posterior cingulate cortex (PCC) at the first and second FDG-PET examinations in each patient of Group A. The metabolic change in the PCC between therapy for 12 and 6 months was significantly different in repeated measures ANCOVA (p = 0.009).
Metabolic changes in each patient in Group A. The graph shows standardized uptake value ratios (SUVR) in the posterior cingulate cortex (PCC) at the first and second FDG-PET examinations in each patient of Group A. The metabolic change in the PCC between therapy for 12 and 6 months was significantly different in repeated measures ANCOVA (p = 0.009).
Clinical features and FDG findings in Group B are shown in Table 2. The data were assessed by using multiple regression analysis (Table 3). Dose of rifampicin, treatment duration, and interval between 2 FDG-PET acquisitions significantly influenced SUVR change in the PCC. The significance of these variates was 0.003, 0.007, and 0.021, respectively. The metabolism in the PCC of all patients who underwent FDG-PET twice after therapy decreased over time (Table 2; Fig. 5). Patients treated with 450 mg/day of rifampicin in Group B were then divided into groups according to whether they had 6 or ≥12 months of rifampicin therapy. The SUVR in the PCC of each patient is plotted in Figure 5. The metabolic decline was milder among patients treated with rifampicin for ≥12 months than in those treated for 6 months (p < 0.05). Figure 6 shows that the cognitive decline was also milder in the ≥12-month therapy group (p < 0.05).
Time course of metabolic decline in patients in Group B. Repeated-measures ANCOVA was applied to assess the metabolic decline during long-term follow-up in patients treated with 450 mg daily of rifampicin for 6 and ≥12 months. The interval of FDG-PET was used as a covariate. The metabolic decline in ≥12-month therapy was significantly milder than that in 6-month therapy (p = 0.013). Regression lines for both ≥12-month (red; R2 = 0.741, p < 0.001) and 6-month (blue; R2 = 0.772, p < 0.001) therapy are shown. SUVR, standardized uptake value ratio; PCC, posterior cingulate cortex.
Time course of metabolic decline in patients in Group B. Repeated-measures ANCOVA was applied to assess the metabolic decline during long-term follow-up in patients treated with 450 mg daily of rifampicin for 6 and ≥12 months. The interval of FDG-PET was used as a covariate. The metabolic decline in ≥12-month therapy was significantly milder than that in 6-month therapy (p = 0.013). Regression lines for both ≥12-month (red; R2 = 0.741, p < 0.001) and 6-month (blue; R2 = 0.772, p < 0.001) therapy are shown. SUVR, standardized uptake value ratio; PCC, posterior cingulate cortex.
Time course of cognitive decline in patients in Group B. Repeated-measures ANCOVA was applied to assess the cognitive decline during long-term follow-up in patients treated with 450 mg daily of rifampicin for 6 and ≥12 months. The interval of FDG-PET was used as a covariate. The cognitive decline in ≥12-month therapy was significantly milder than that in 6-month therapy (p = 0.045). Regression lines for both ≥12-month (red; R2 = 0.420, p < 0.01) and 6-month (black; R2 = 0.802, p < 0.001) therapy are shown. MMSE, Mini-Mental State Examination.
Time course of cognitive decline in patients in Group B. Repeated-measures ANCOVA was applied to assess the cognitive decline during long-term follow-up in patients treated with 450 mg daily of rifampicin for 6 and ≥12 months. The interval of FDG-PET was used as a covariate. The cognitive decline in ≥12-month therapy was significantly milder than that in 6-month therapy (p = 0.045). Regression lines for both ≥12-month (red; R2 = 0.420, p < 0.01) and 6-month (black; R2 = 0.802, p < 0.001) therapy are shown. MMSE, Mini-Mental State Examination.
Discussion
We revealed that rifampicin has preventive effects on preclinical and prodromal AD patients under certain conditions. This retrospective study reviewed FDG-PET findings of elderly patients with mycobacterium infection who were treated with rifampicin and were not demented when starting rifampicin therapy. As indicated in the flow diagram (Fig. 1), our study comprised 2 different groups: Group A and Group B. In the former, we evaluated changes in hypometabolism both before and after therapy. In the latter, we assessed metabolic decline during long-term follow-up after therapy. The FDG uptake in the PCC was improved or stabilized by 12 months of rifampicin therapy in 6 patients in Group A without dementia. The metabolic changes in 12-month therapy differed significantly from those in 6-month therapy (Table 2; Fig. 4). In Group B, rifampicin dose, treatment duration, and interval between 2 FDG-PET acquisitions significantly influenced SUVR change in the PCC (Table 3). The metabolic decline during long-term follow-up was milder among patients treated with rifampicin for ≥12 months than among those treated for 6 months. These findings indicate that the onset of dementia might be prevented or delayed by 450 mg daily of rifampicin therapy for ≥12 months, whereas the effect was not permanent.
In the literature, randomized trials found that oral rifampicin (300 mg/day) for 3 months [12] and 12 months [13] neither improved cognitive function nor prevented the progress of mild-to-moderate AD. Compared to these findings, our results are more encouraging. Our study and the previous studies differed in terms of cognitive function at the start of treatment and the dose and duration of rifampicin administered. Each of these factors should be carefully considered to determine the optimal conditions.
It was our privilege that we could evaluate the effect of rifampicin prior to the onset of dementia by using FDG-PET, as rifampicin was administered not for the clinical trial but for the treatment of mycobacterium infections in our study. The optimal timing to start preventive therapy has been emphasized to be early, because clinical trials of therapies that target amyloid-β in patients with AD have revealed that initiating therapy after the onset of clinical symptoms has little effect on cognitive function [4-6]. Therefore, preventive therapy should be started before the onset of dementia. In line with this view, FDG-PET is useful to detect underlying pathological features that are not clinically evident [14-16]. Even among patients without dementia, having AD-type hypometabolism indicated that they were in a state of readiness to decline and this timing seemed optimal to start preventive therapy.
As for the dosage, our findings indicated that the preventive effect of rifampicin needs at least 450 mg/day. We administered 450 mg/day of rifampicin to all patients in Group A and to 22 patients in Group B, whereas 6 patients were treated with 300 mg/day of rifampicin in Group B. However, the dose of rifampicin significantly influenced SUVR change in multiple regression analysis in Group B (Table 3). The oral administration of 1.0 mg/day was more effective than 0.5 mg/day in a mouse model, indicating a dose-dependent effect of rifampicin on AD pathology [8]. A dose of 300 mg/day has little effect on mild-to-moderate AD [12, 13]. Moreover, in our study, we found that cognitive decline progressed in a patient without dementia in Group B during 48 months of treatment with rifampicin (300 mg/day), and the patient developed AD 14 months after treatment. Considering the above findings, rifampicin might work in a dose-dependent manner in humans. Thus, effective dosage of rifampicin is considered to be 450 mg/day or higher (e.g., 600 mg/day).
In terms of treatment duration, our results indicate that at least 12 months of rifampicin therapy is needed to lower the incidence of dementia among elderly individuals. Multiple regression analysis in Group B revealed that treatment duration significantly influenced FDG uptake in the PCC. One study found a significantly lower incidence of dementia among patients with leprosy who were treated for over 5 years compared with those who were untreated or treated for less than 5 years [17]. Although the details of rifampicin treatment were not described in that report, the results suggested that several years of continuous rifampicin might be essential to prevent the onset of dementia.
The precise mechanism of the preventive effect of rifampicin on the pathological process of AD was thoroughly investigated in vitro [18] and in vivo [8, 19]. According to these studies, rifampicin has a versatile action to prevent the pathological process of AD. It inhibits oligomerization of amyloid-β, tau, and α-synuclein. As for amyloid-β, its oligomer has been regard ed as a toxic and pathogenic protein [20, 21]. Rifampicin inhibits its oligomerization to produce monomer; however, it fails to decrease amyloid deposition [8]. It rather promotes the growth of senile plaque by providing monomers that form less toxic insoluble fibrils [8]. In line with this view, even if orally administered rifampicin works, amyloid PET such as Pittsburgh Compound-B (PiB)-PET could not have detected the effect. Indeed, PiB-PET detected only a slight amyloid signal in patients carrying the E693Δ mutation that has been known to produce much more oligomers than sporadic AD [22, 23]. Therefore, FDG-PET seems suitable for evaluating the versatile effects of rifampicin altogether.
Rifampicin is an antibiotic, which is easy for mycobacterium to get resistance to. To prevent the manifestation of resistance to rifampicin in mycobacterium, it is important to be careful on potential mycobacterium infection and, then, rifampicin should be administered with other antibiotics as a combination therapy.
This retrospective study has several limitations. Firstly, all patients should have undergone FDG-PET before and after rifampicin administration and within the same intervals. Secondly, the sample size was not large, although our results were statistically significant. Thirdly, patients younger than 65 years of age were not included in this study. As the preventive effect of rifampicin in mouse models was more evident in younger mice [8], rifampicin might be more effective in younger patients. Fourthly, treatment duration was not independent of the type of mycobacterium infections (i.e., MAC or TB). Usually, TB is treated for 6–9 months and MAC needs 12 months of treatment; therefore, the majority of patients treated for 12 and 6 months were MAC and TB, respectively. However, we could not find any evidence that showed a relationship between the type of mycobacterium infection and AD progression. Finally, we did not include patients whose FDG findings were normal during follow-up. However, some of these normal findings might have been due to a preventive effect of rifampicin that remained undetectable. A prospective study with a larger sample of patients is needed to address the above issues.
Conclusion
Rifampicin therapy (450 mg/day for ≥12 months) before the onset of dementia improved or stabilized AD-type hypometabolism and made metabolic decline milder in the long-term follow-up after completion of therapy. Multiple regression analysis revealed that rifampicin dose and treatment duration significantly influenced FDG uptake in the PCC. These findings suggest that rifampicin can to some extent prevent the progression of AD, and the effect needs at least 450 mg daily for 12 months. The preventive effect depended on the dose and the duration of administration. Therefore, higher doses and a longer treatment duration might be preferable as preventive therapy unless adverse events arise.
Acknowledgements
The authors thank the technical staff at the Department of Nuclear Medicine at Fukujuji hospital, especially Makoto Fukasawa, Hiroya Inoue, and Youichi Akiyama, for invaluable technical assistance.
Disclosure Statement
The authors have no conflicts of interest to declare.




![Fig. 3. The 3D stereotactic surface projection images of hypometabolism before and after therapy in 3 patients in Group A. a The patient was male and 77 years of age at the time of the first FDG-PET examination. He did not have amnesia (Clinical Dementia Rating [CDR]: 0; Mini-Mental State Examination [MMSE] score: 29). After diagnosis of mycobacterium avium complex (MAC), 450 mg/day of rifampicin was administrated for 12 months. The second FDG-PET was performed 24 months after the first FDG. An increase of FDG uptake was observed in the posterior cingulate cortex (PCC) and the parietal association cortex. The CDR and MMSE score of the patient did not change. b The patient was female and 74 years of age at the time of the first FDG-PET examination. She was slightly amnestic but had no problems in daily life (CDR: 0.5; MMSE score: 26). After diagnosis of MAC, she completed 12 months of therapy with 450 mg daily of rifampicin. The second FDG-PET was performed 24 months after the first FDG. An increase of FDG uptake was clearly observed in the PCC and slightly in the parietal association cortex. The CDR of the patient remained 0.5, but the MMSE score increased to 28. c The patient was male and 85 years of age at the time of the first FDG-PET examination. He was slightly amnestic but had no problems in daily life (CDR: 0.5; MMSE score: 25). After diagnosis of MAC, he completed 12 months of rifampicin therapy. The second FDG-PET was performed 36 months after the first FDG. FDG uptake was not changed obviously. The CDR and MMSE score of the patient did not change.](https://karger.silverchair-cdn.com/karger/content_public/journal/dee/7/2/10.1159_000477343/2/m_000477343_f03.jpeg?Expires=1713277070&Signature=p7T9~XX5Mz0OCg1NL2V1V72KJ1fotKS7NKUVYTEuvnT2ATmhZr5tGSLfgVbmgygknlIyez9xK-IWt5WaJkk~JvLou4E~rLqW8q3nLiOMUJg3-z-M-gakX5w4zsznTnxsrBlnpewVGzXaF0wHthdNiM0GvCyA0BTEqAxCvZ3ev7E0nGpPnDJ0ZVFsFdRh4IlV-UEC0~FG93ft62nJw3Aokh12omrPzazcDS7laptjVZkyyZdUGt2yUVbTo~S9ocCMCBW1CHiI2QzOQsMU9GtUDKC2OgSVet189hNMaurf6srRctZFO5VvB1UocT6c7Wsoea9HLuWZeuxeYGCcsFZ~Ww__&Key-Pair-Id=APKAIE5G5CRDK6RD3PGA)




