Abstract
Background/Aims: ATP release from erythrocyte plays a key role in hypoxia-induced elevation of blood flow in systematic circulation. We have previously shown that hemolysis contributes to erythrocyte ATP release triggered by several stimuli, including hypoxia, but the molecular mechanisms of hypoxia-increased membrane fragility remain unknown. Methods: In this study, we compared the action of hypoxia on hemolysis, ATP release and the composition of membrane-bound proteins in human erythrocytes. Results: Twenty minutes incubation of human erythrocytes in the oxygen-free environment increased the content of extracellular hemoglobin by ∼1.5 fold. Paired measurements of hemoglobin and ATP content in the same samples, showed a positive correlation between hemolysis and ATP release. Comparative analysis of SDS-PAGE electrophoresis of erythrocyte ghosts obtained under control and deoxygenated conditions revealed a ∼2-fold elevation of the content of membrane-bound protein with Mr of ∼60 kDa. Conclusion: Deoxygenation of human erythrocytes affects composition of membrane-bound proteins. Additional experiments should be performed to identify the molecular origin of 60 kDa protein and its role in the attenuation of erythrocyte integrity and ATP release in hypoxic conditions.
Introduction
Regulation of vascular tone facilitates oxygenation and supply of tissues with glucose and other substances required for synthesis of high-energy compounds in order to balance energy consumption. The regulation in lumen diameter of blood vessels in response to decline in partial oxygen pressure (рО2) is one of the most intriguing and intensively studied phenomena [1]. Dietrich and co-workers were the first to report that the presence of erythrocytes is obligatory for elevation of lumen diameter seen in small vessels isolated from systemic circulation and subjected to hypoxic conditions [2]. Gaseous transmitters (NO, CO, H2S) and purinergic signaling system are considered among the main tentative mechanisms involving erythrocytes in regulation of blood vessel tone [3]. A key role of purinergic signaling system in regulation of vascular tone under hypoxic conditions is supported by several observations. First, since the seminal paper of Burnstock and Kennedy [4], numerous research teams observed that luminal application of ATP leads to relaxation in different vascular beds (for comprehensive review, see [5,6]. Second, attenuation of partial oxygen pressure (рО2) leads to release ATP from human erythrocytes [7,8] as well as erythrocytes isolated from other mammals studied so far [9]. Third, ATP content in the effluent blood from exercising thigh increased during intense hypoxic exercise as compared to normoxic ones [10]. Several studies demonstrated attenuated ATP release in erythrocytes from older adults [11] and in patients with type 2 diabetes mellitus [12,13], cystic fibrosis [14] and idiopathic pulmonary hypertension [15] thus suggesting pathophysiological implications of this phenomenon.
In spite of extensive number of observations showing ATP release from erythrocytes subjected to attenuated рО2 as well as other physiological and pathophysiological stimuli including hypercapnia [7], modest acidification [8], elevated temperature [16], deformation [14] and shear stress [17], molecular mechanisms underlying this phenomenon remain poorly understood [3]. Indeed, exocytosis as a major mechanism of hormone and neurotransmitter secretion in nucleated cells should be excluded in mature mammalian erythrocytes lacking endoplasmic reticulum. Keeping this in mind, several non-vesicular mechanisms, including conductive transport via pannexin-1, voltage- and volume-dependent anion channels, and cystic fibrosis transmembrane conductance regulator (CFTR) were proposed to be involved in hypoxia-induced ATP release [9,18,19].
Side-by-side with ATP-conducting pathways listed above, elevation of extracellular ATP concentration may be caused by hemolysis, i.e. disruption of erythrocyte membrane integrity. Indeed, it was shown that intensive hypoxic exercise leads to intravascular hemolysis correlated with elevation of plasma ATP content [20,21]. Recently, we compared ATP and hemoglobin release from human erythrocytes in response to hyposmotic swelling, hypoxia and mechanical stimuli. In these experiments we revealed positive correlation between extracellular content of ATP and hemoglobin [22]. In the case of hypotonic shock, a key role of hemolysis in elevation of extracellular ATP concentration was confirmed by simultaneous luminescence ATP imaging and infrared differential interference contrast images of substrate-attached erythrocytes [22]. It should be noted that Berfeld and Forrester did not find any effect of 50-s hypoxia/hypercapnia on human erythrocyte hemolysis [7]. Negative results were also obtained in comparative analysis of hemoglobin and ATP release evoked by several toxins and activators of cAMP-signaling (for recent review, see [3,23]). In this study, we performed a correlation analysis of hypoxia-induced ATP and hemoglobin release from human erythrocytes of young volunteers and the action of hypoxia on the composition of membrane-bound proteins as a factor determining erythrocyte integrity.
Matherials and Methods
Erythrocytes
Blood samples from young volunteers (9 men and 8 women, 26±4 and 28±6 years old, respectively) were collected in tubes containing heparin (5U/ml). Samples were centrifuged 1500 g for 10 min at +4°C, blood plasma and white blood cells were removed by aspiration and erythrocytes were washed three times in buffer A, containing 145 mM NaCl, 5 mM KCl, 4 mM Na2HPO4, 1 mM NaH2PO4, 1 mM MgSO4, 1 mM CaCl2, 10 mM glucose (pH 7.4). Then, erythrocyte suspension was adjusted to 30% hematocrit, stored at +4°C and used for experiments within 3 hours.
Oxygen depletion
Oxygen depletion was performed at room temperature with erythrocyte suspension mixed at 30 rpm in an airtight flow-through chamber with a continuously injected gas mixture containing N2 and 0.04% СО2. To control oxygen depletion we employed Resonance Raman spectroscopy of hemoglobin with near-infrared laser excitation [24]. Raman spectra were obtained by means of Raman spectrometer utilizing laser 473 nm (Ciel, Eurolase, Russia) and registration system MORS 1/3648 (Troitsk, Russia) based on CCD TCD1304DG (Toshiba, Japan) with the edge filter LPO2-473RS-50 (Shemrock, USA). Considering the laser wavelength and hemoglobin absorption at 473 nm we worked with non-resonance Raman scattering. Excitation of Raman scattering was done with laser power of 17 mW per laser spot of 2 mm in diameter. In preliminary experiments, we observed that in our conditions half-maximal attenuation of the content of oxygenated hemoglobin in erythrocytes occurs in 5-7 min of their exposure to oxygen-free environment. Considering this we extended the incubation time up to 20 min. Figure 1 shows that at this time point oxygen-free gas mixture endorsed complete oxygen depletion of hemoglobin indicated by the absence of 1375 cm-1 band in the Raman scattering spectra. In the control samples, erythrocyte suspension was injected with air at the same flow intensity. To obtain erythrocyte ghosts, we removed oxygen from the buffer used for erythrocyte lysis and further washout of the erythrocyte ghosts by bubbling it with the N2/CO2 gas mixture. Oxygen content in the chamber, measured with KE25 oxygen sensor (Figaro, Japan), did not exceed 1%.
Raman spectra of erythrocyte suspensions measured after 20-min exposure to air (1) or oxygen-free gas mixture (2).
Raman spectra of erythrocyte suspensions measured after 20-min exposure to air (1) or oxygen-free gas mixture (2).
Erythrocyte hemolysis
Erythrocyte hemolysis was estimated as a percentage of extracellular hemoglobin to the total hemoglobin content in erythrocyte. Degree of hemolysis was estimated by optical density of hemoglobin in supernatant fluid at 415 nm after sedimentation of erythrocytes at 500 g for 10 min at room temperature. The presented values are corrected for the background degree of hemolysis, which was obtained before the experimental treatments.
Extracellular ATP assay
ATP was quantified by a luciferin-luciferase bioluminescence assay. Both extracellular ATP and free hemoglobin were always measured in the same supernatant samples as described in detail elsewhere [22].
Erythrocyte ghosts
Erythrocyte ghosts were obtained by hypotonic hemolysis in 20 volumes of ice-cold phosphate buffer (4.7 mM Na2HPO4, 0.3 mM NaH2PO4, pH=7.4) followed by three washing and centrifugations at 3500g for 40 min at +4°C. Then, suspension of erythrocyte ghosts was concentrated by centrifugation in phosphate buffer at 13000 g for 40 min at +4 °C. All procedures required for preparation of erythrocyte ghosts in the media with low oxygen content were performed in the airtight flow-through chamber with a continuous injection of gas mixture, which differed from the air. Erythrocyte ghosts were stored at -80 °C. Protein concentration was determined by the modified Lowry's method [25] with bovine serum albumin as a standard.
One-dimensional SDS-polyacrylamide gel electrophoresis
One-dimensional SDS-polyacrylamide gel electrophoresis of erythrocyte ghosts was performed in polyacrylamide gel by the Laemmli method [26] using 6% concentrating gel in 0.5 M Tris-HCl (pH 6.8), 0.4% SDS and 10% separating gel in 1.5 M Tris-HCl,(pH 8.8), 0.4% SDS. The electrophoresis cell was filled with buffer containing 1.92 М glycine, 250 mM tris-HCl (pH 8.6) and 1% SDS. The stock of polyacrylamide contained 30% acrylamide and 0.8% N,N-methylenebisacrylamide. The protein samples for electrophoresis were prepared in a 4-fold buffer (250 mM Tris-HCl, pH 6.8, 8% SDS, 40% sucrose, 0.05% bromophenol blue, 5% β-mercaptoethanol) and incubated for 5 min at 95°C. To control protein molecular weight, we loaded molecular weight marker and prepared protein samples in the wells, using a micropipettor with gel loading tips. Electrophoresis was performed in Mini-Protean III cell (Bio-Rad, USA). When the bromophenol blue has run to the bottom of the gel the electrophoresis was terminated by 1 hr incubation at room temperature in solution containing 25% isopropanol and 10% acetic acid. Then, proteins on the gel were stained for 1 hr with Coomassie R-250 (0.5% Coomassie blue R-250. 30% isopropanol, 10% acetic acid) and incubated overnight with a solution, containing 25% ethanol and 7.5% acetic acid. Then, gel was washed two times in the distilled water. Electrophoregrams were analyzed using One-Dscan software. Protein band densities were normalized to the density of band 3 protein.
Statistical analysis
Statistical analysis was performed using Mann-Whitney U-test in Statistica 8.0 software package.
Results and Discussion
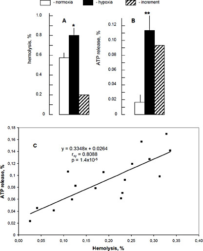
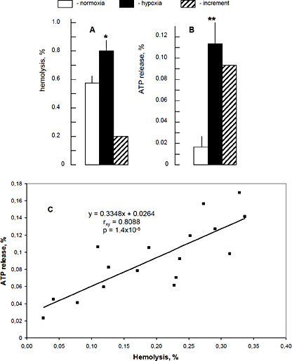
In the initial experiments, we compared hemoglobin and ATP release in control and deoxygenated erythrocytes isolated from 17 volunteers. Sprague and co-workers reported the negligible hypoxia-induced ATP release in erythrocytes from patients with type 2 diabetes mellitus [12,13], cystic fibrosis [14] and idiopathic pulmonary hypertension [15]. More recently, Kirby et al. did not detect any actions of low pO2 on ATP release from erythrocytes of aged humans [11]. Considering these data, we limited our correlation analysis of hemolysis and ATP release to young adults. Figures 2A and 2B show that 20-min hypoxia resulted in elevation of extracellular hemoglobin and ATP content by ∼1.4 and 6-fold, respectively. Importantly, we found a positive correlation between increments of hemolysis and extracellular ATP content evoked by hypoxia with the Pearson product-moment correlation coefficient rxy = 0.8088 and p = 1.4x10-5 (Fig. 2C). Our results are consistent with data obtained in human erythrocytes subjected to 30-min low-oxygen conditions [22] but contradict to negative results in human erythrocytes exposed to 50-s hypoxia/hypercapnia [7] and 20-min hypoxia in the presence of 20% Dextran 40 [21]. It should be underlined that in our experiments hypoxic conditions were applied at room temperature whereas in other studies erythrocytes were incubated at 37oC [7,8,9,11,15]. This comment become important because elevation of temperature in the range from 33 to 39oC increased baseline ATP release from human erythrocytes by 3-fold [16]. Considering the methodological differences and experimental protocols of free hemoglobin and ATP determinations, i.e. paired vs. unpaired measurements, additional experiments should be performed to clarify the origin of the divergent results obtained in the cited studies as well as the effect hypoxia on the hemolysis of erythrocytes from persons with above-listed pathologies.
Relationship between increments of hemolysis and ATP release in human erythrocytes. Accumulation of extracellular hemoglobin (A) and ATP (B) triggered by 20-min incubation of human erythrocytes in normoxic and hypoxic conditions. Means ± S.E. obtained in 17 experiments with blood from different donors are shown. The total content of hemoglobin and ATP was taken as 100%. *, ** p < 0.02 and 0.001 compared to normoxia, respectively. Mean values of increments triggered by hypoxia are shown by hutched columns. C. Linear regression analysis of increments of hemolysis and ATP release triggered by hypoxia. rxy is the Pearson product-moment correlation coefficient and p is the measure of correlation's significance estimated by the Student's t-test.
Relationship between increments of hemolysis and ATP release in human erythrocytes. Accumulation of extracellular hemoglobin (A) and ATP (B) triggered by 20-min incubation of human erythrocytes in normoxic and hypoxic conditions. Means ± S.E. obtained in 17 experiments with blood from different donors are shown. The total content of hemoglobin and ATP was taken as 100%. *, ** p < 0.02 and 0.001 compared to normoxia, respectively. Mean values of increments triggered by hypoxia are shown by hutched columns. C. Linear regression analysis of increments of hemolysis and ATP release triggered by hypoxia. rxy is the Pearson product-moment correlation coefficient and p is the measure of correlation's significance estimated by the Student's t-test.
Eryptosis, i.e. the suicidal erythrocyte death characterized by cell shrinkage, membrane blebbing, and phosphatidylserine translocation to the outer membrane leaflet, has been subjected to details investigation by Lang and co-workers [27,28]. To the best of our knowledge, there is no systematic study on the impact of hemolysis in eryptosis. It should be noted, however, that with a few exceptions [29] eryptosis was not accompanied by any significant accumulation of extracellular hemoglobin. Moreover, both membrane blebbing and phosphatidylserine translocation was detected after 24 hours of the erythrocyte exposure to Ca2+i-rising compounds and other canonical eryptotic stimuli [30,31,32,33] contrasting to the rapid hemolysis detected in 20 min of hypoxia (Fig. 2A).
As the only known O2-binding molecules in red blood cells, hemoglobin has been implicated in cellular responses triggered by hypoxia [9]. Indeed, it was shown that skeletal muscle perfusion and plasma ATP in exercising humans exposed to hypoxia, hyperoxia, carbon monoxide inhalation and anemia are closely related to the amount of oxygenated hemoglobin rather than to plasma pO2 and the number of hemoglobin molecules [10,34,35,36]. Recently Jagger and co-workers demonstrated the negative correlation of ATP release and the content of oxygenated relaxed form of hemoglobin (R-Hb) and suppression of hypoxia-induced ATP release by СО fixing hemoglobin in R-Hb conformation [35]. These data allowed us to propose that deoxygenated tense form of hemoglobin (T-Hb) interacts with unknown membrane-bound protein thus triggering downstream signaling cascade terminated by hemolysis and ATP release. To examine the role of membrane-bound proteins in pO2-dependent signaling, we performed comparative analysis of SDS-PAGE electrophoresis of erythrocyte ghosts obtained in control and deoxygenated conditions. Figure 3A shows that 20-min incubation of human erythrocytes in the oxygen-free environment increased the accumulation of hemoglobin in extracellular medium by 1.5-fold (p<0.01). We found that in these red blood cells deoxygenation resulted in ∼2-fold elevation of the content of membrane-bound protein with a Mr of ∼60 kD and shown as protein X (Fig. 4).
Effect of hypoxia on hemolysis and the content of membrane bound proteins in human erythrocytes. A - Hemolysis of erythrocytes under conditions of normoxia and hypoxia. Means ± S.E. from 4 independent experiments are shown. The total content of hemoglobin was taken as 100%. * p<0.01. B - Representative PAGE of erythocyte ghost obtained in normoxic and hypoxic conditions. C - the relative protein X content in erythrocyte membranes obtained in control (open bars) and hypoxic (black bars) conditions. Means ± S.E. from 4 independent experiments are shown. The content of band 3 protein was taken as 100%. * p<0.01.
Effect of hypoxia on hemolysis and the content of membrane bound proteins in human erythrocytes. A - Hemolysis of erythrocytes under conditions of normoxia and hypoxia. Means ± S.E. from 4 independent experiments are shown. The total content of hemoglobin was taken as 100%. * p<0.01. B - Representative PAGE of erythocyte ghost obtained in normoxic and hypoxic conditions. C - the relative protein X content in erythrocyte membranes obtained in control (open bars) and hypoxic (black bars) conditions. Means ± S.E. from 4 independent experiments are shown. The content of band 3 protein was taken as 100%. * p<0.01.
Band 3 protein, i.e. the major integral protein of erythrocytes membrane, plays a key role in the organization of membrane cytoskeleton as well as in anion transport (anion exchanger 1, AE1) [37]. It was shown that both in humans and mice the affinity of band 3 fragment with Mr of 43 kDa (CDB3) for T-Hb is much higher than for oxygenated hemoglobin [38,39]. These data allowed researcher to assume that T-Hb/band3 interaction is crucial for triggering the downstream pO2-dependent signals including altered cytoskeleton assembly which role in the maintenance of erythrocyte membrane integrity is well-documented [40,41,42,43]. Indeed, using inside-out vesicles it was shown that addition of T-Hb leads to displacement of ankyrin from band 3 thus weakening membrane-cytoskeleton interactions and promoting plasma membrane vesiculation and rupture [44]. We clear understand, however, that at this stage of knowledge such model is purely speculative. Additional experiments should be performed to identify molecular origin of protein X and its role in pO2-sensitve, band-3-mediated cytoskeleton network rearrangement, maintenance of plasma membrane integrity and erythrocyte hemolysis in the modest, in vivo-like hypoxic conditions.
Acknowledgements
This study was supported by grants from the Natural Sciences and Engineering Research Council of Canada, the Russian Foundation for Fundamental Research #15-04-00101 and grant from the Russian Scientific Foundation #14-15-00006 and #16-15-10026.
Disclosure Statement
All authors have none to declare.



